Останнє оновлення :
18/03/2026
Антибіотик   Gentamicin sulfate  
ін'єкція
Очні краплі
Стійкість в розчинах Стійкість сумішей Фактори, що впливають на стабільність Сумісність Шлях введення Список літератури pdf
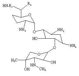
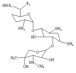
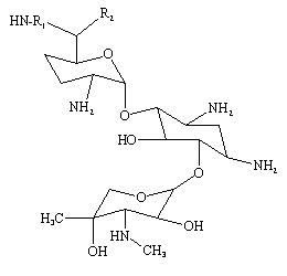
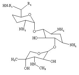
   Хімічна структура  

Торгова назва   Торгова назва     

Торгові назви є орієнтовними, а склад допоміжних речовин може бути різним залежно від країни та виробника

Azupel Перу
Cidomycin Єгипет, Великобританія, Туніс
Dabroson Греція
Epigent Єгипет
Garalone Португалія
Garamicina Бразилія, Еквадор, Колумбія, Мексика
Garamycin Єгипет, Індія, Греція, Данія, Нідерланди, Норвегія, Об'єднані Арабські Емірати, Польща, Хорватія, Швейцарія
Genmisin Туреччина
Gensif Туреччина
Gensumycin Норвегія, Фінляндія, Швеція
Genta-Gobens Іспанія
Gentalline Марокко
Gentamen Марокко
Genticin Ірландія, Великобританія, Об'єднані Арабські Емірати
Gentreks Туреччина
Hexamycin Данія
Plurisemina Аргентина
Refobacin Єгипет, Австрія, Колумбія, Німеччина
Rupegen Аргентина

Фактори, що впливають на стабільність   ін'єкція   Фактори, що впливають на стабільність : Gentamicin sulfate        

  Mentions Légales