Senaste uppdateringen :
17/12/2025
Antibiotikum   Gentamicin sulfate  
injektion
ögondroppar
Lösningars stabilitet Stabilitet i blandningar Faktorer som påverkar stabiliteten Kompatibilitet Administreringssätt Hänvisningar pdf
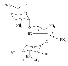
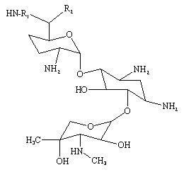
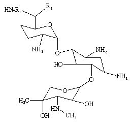
   Molekylstruktur  

Varunamn   Varunamn     

Angivna handelsnamn på läkemedel är enbart vägledande då formulering inklusive hjälpämnen kan variera mellan länder och tillverkare

Azupel Peru
Cidomycin Egypten, Storbritannien, Tunisien
Dabroson Grekland
Epigent Egypten
Garalone Portugal
Garamicina Brasilien, Colombia, Ecuador, Mexiko
Garamycin Danmark, Egypten, Förenade Arabemiraten, Grekland, Indien, Kroatien, Nederländerna, Norge, Polen, Schweiz
Genmisin Turkiet
Gensif Turkiet
Gensumycin Finland, Norge, Sverige
Genta-Gobens Spanien
Gentalline Marocko
Gentamen Marocko
Genticin Förenade Arabemiraten, Irland, Storbritannien
Gentreks Turkiet
Hexamycin Danmark
Plurisemina Argentina
Refobacin Colombia, Egypten, Österrike, Tyskland
Rupegen Argentina

Faktorer som påverkar stabiliteten   injektion   Faktorer som påverkar stabiliteten : Gentamicin sulfate        

  Mentions Légales