Ultimo aggiornamento :
17/12/2025
Antibiotico   Gentamicin sulfate  
Iniezione
Collirio
Stabilità in soluzione Stabilità in miscela Fattori che influenzano la stabilità Compatibilità metodo di iniezione Bibliografia pdf
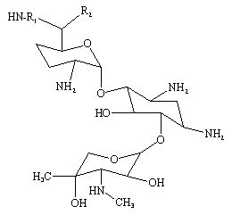
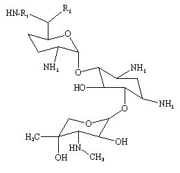
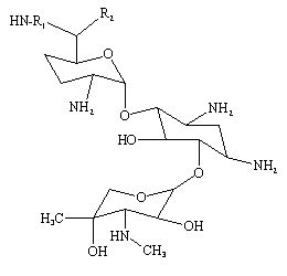
   Struttura chimica  

Nome commerciale   Nome commerciale     

Trade names are indicative and excipients composition can be different depending on the country and manufacturers

Azupel Perù
Cidomycin Egitto, Gran Bretagna, Tunisia
Dabroson Grecia
Epigent Egitto
Garalone Portogallo
Garamicina Brasile, Colombia, Ecuador, Messico
Garamycin Croazia, Danimarca, Egitto, Emirati Arabi Uniti, Grecia, India, Norvegia, Paesi Bassi, Polonia, Svizzera
Genmisin Turchia
Gensif Turchia
Gensumycin Finlandia, Norvegia, Svezia
Genta-Gobens Spagna
Gentalline Marocco
Gentamen Marocco
Genticin Emirati Arabi Uniti, Gran Bretagna, Irlanda
Gentreks Turchia
Hexamycin Danimarca
Plurisemina Argentina
Refobacin Austria, Colombia, Egitto, Germania
Rupegen Argentina

Fattori che influenzano la stabilità   Iniezione   Fattori che influenzano la stabilità : Gentamicin sulfate        

  Mentions Légales