Laatste update :
17/12/2025
Antibioticum   Gentamicin sulfate  
injecteerbaar geneesmiddel
Oogwater
Stabiliteit in oplossing Stabiliteit in mengsels Factoren die de stabiliteit beïnvloeden Verenigbaarheden Toedieningswijze Literatuur pdf
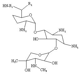
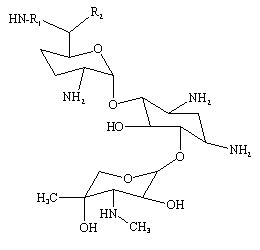
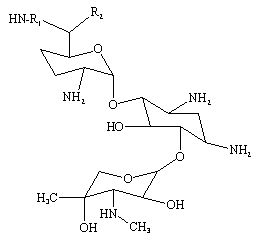
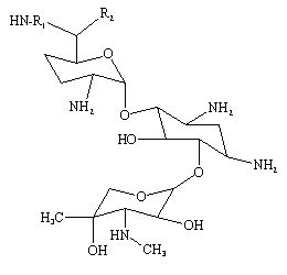
   Molecuulstructuur  

Merknamen in verschillende landen   Merknamen in verschillende landen     

Handelsnamen zijn slechts een indicatie; de samenstelling van hulpstoffen kan per land variëren afhankelijk van de fabrikant

Azupel Peru
Cidomycin Egypte, Groot Britannië, Tunisie
Dabroson Griekenland
Epigent Egypte
Garalone Portugal
Garamicina Brazilië, Colombia, Ecuador, Mexico
Garamycin Denemarken, Egypte, Griekenland, Indië, Kroatië, Nederland, Noorwegen, Polen, Verenigde Arabische Emiraten, Zwitserland
Genmisin Turkije
Gensif Turkije
Gensumycin Finland, Noorwegen, Zweden
Genta-Gobens Spanje
Gentalline Marokko
Gentamen Marokko
Genticin Groot Britannië, Ierland, Verenigde Arabische Emiraten
Gentreks Turkije
Hexamycin Denemarken
Plurisemina Argentinië
Refobacin Colombia, Duitsland, Egypte, Oostenrijk
Rupegen Argentinië

Factoren die de stabiliteit beïnvloeden   injecteerbaar geneesmiddel   Factoren die de stabiliteit beïnvloeden : Gentamicin sulfate        

  Mentions Légales