Siste oppdatering :
17/12/2025
Antibiotika   Gentamicin sulfate  
Injeksjon
Øyedråper
Oppløsningsstabilitet Stabilitet i blandinger Faktorer som påvirker stabiliteten Kompatibilitet Administrasjonsmåte Referanser pdf
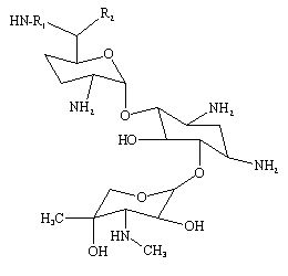
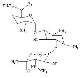
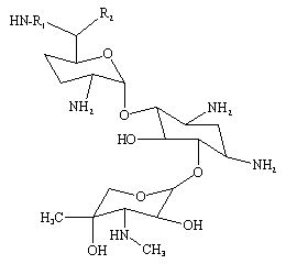
   Kjemisk struktur  

Handelsnavn   Handelsnavn     

Handelsnavn er veiledende og sammensetning av hjelpestoffer kan være forskjellig avhengig av land og produsent

Azupel Peru
Cidomycin Egypt, Storbritannia, Tunisia
Dabroson Hellas
Epigent Egypt
Garalone Portugal
Garamicina Brasil, Colombia, Ecuador, Mexico
Garamycin Danmark, De forente arabiske emirater, Egypt, Hellas, India, Kroatia, Nederland, Norge, Polen, Sveits
Genmisin Tyrkia
Gensif Tyrkia
Gensumycin Finland, Norge, Sverige
Genta-Gobens Spania
Gentalline Marokko
Gentamen Marokko
Genticin De forente arabiske emirater, Irland, Storbritannia
Gentreks Tyrkia
Hexamycin Danmark
Plurisemina Argentina
Refobacin Colombia, Egypt, Tyskland, Østerrike
Rupegen Argentina

Faktorer som påvirker stabiliteten   Injeksjon   Faktorer som påvirker stabiliteten : Gentamicin sulfate        

  Mentions Légales