最新更新 :
17/12/2025
抗菌薬   Gentamicin sulfate  
注射薬
点眼薬
溶媒内の安定性 混合時の安定性 安定性に影響する因子 互換性 投与経路 引用文献 PDF
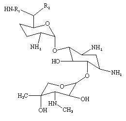
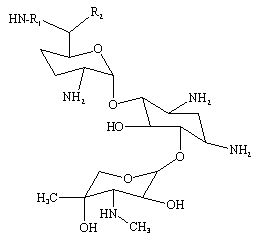
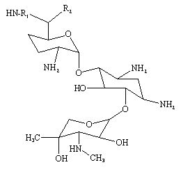
   化学構造  

商品名   商品名     

商品名、賦形剤は国、製薬会社ごとに異なることがあります

Azupel ペルー
Cidomycin イギリス, エジプト, チュニジア
Dabroson ギリシア
Epigent エジプト
Garalone ポルトガル
Garamicina エクアドル, コロンビア, ブラジル, メキシコ
Garamycin アラブ首長国連邦, インド, エジプト, オランダ, ギリシア, クロアチア, スイス, デンマーク, ノルウェー, ポーランド
Genmisin トルコ
Gensif トルコ
Gensumycin スウェーデン, ノルウェー, フィンランド
Genta-Gobens スペイン
Gentalline モロッコ
Gentamen モロッコ
Genticin アイルランド, アラブ首長国連邦, イギリス
Gentreks トルコ
Hexamycin デンマーク
Plurisemina アルゼンチン
Refobacin エジプト, オーストリア, コロンビア, ドイツ
Rupegen アルゼンチン

安定性に影響する因子   注射薬   安定性に影響する因子 : Gentamicin sulfate        

  Mentions Légales