Poslední aktualizace :
17/12/2025
Antibiotikum   Gentamicin sulfate  
injekce
Humbuk
Stabilita roztoků Stabilita směsí Faktory ovlivňující stabilitu Kompatibilita Způsoby aplikace Odkazy pdf
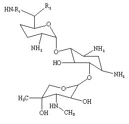
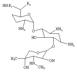
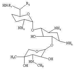
   Chemický vzorec  

Obchodní název   Obchodní název     

Trade names are indicative and excipients composition can be different depending on the country and manufacturers

Azupel Peru
Cidomycin Egypt, Tunisko, Velká Británie
Dabroson ÿecko
Epigent Egypt
Garalone Portugalsko
Garamicina BrazÌlie, Ekvádor, Kolumbie, Mexiko
Garamycin Chorvatsko, Dánsko, Egypt, Indie, Nizozemsko, Norsko, Polsko, Spojené arabské emiráty, Švýcarsko, ÿecko
Genmisin Turecko
Gensif Turecko
Gensumycin Finsko, Norsko, Švédsko
Genta-Gobens äpanÏlsko
Gentalline Maroko
Gentamen Maroko
Genticin Irsko, Spojené arabské emiráty, Velká Británie
Gentreks Turecko
Hexamycin Dánsko
Plurisemina Argentina
Refobacin Egypt, Kolumbie, NÏmecko, Rakousko
Rupegen Argentina

Faktory ovlivňující stabilitu   injekce   Faktory ovlivňující stabilitu : Gentamicin sulfate        

  Mentions Légales