Seneste opdatering :
17/12/2025
Antibiotisk   Gentamicin sulfate  
Injektion
Øjendråber
Stabilitet i (vandige) opløsninger Stabilitet i blandinger Faktorer der påvirker stabiliteten Kompatibilitet Administrationsvej Bibliografi pdf
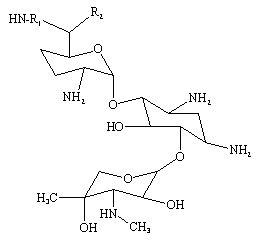
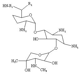
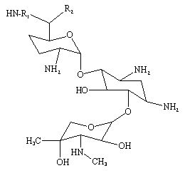
   Kemisk struktur  

Handelsnavn   Handelsnavn     

Handel navne er vejledende og hjælpestoffer sammensætning kan være forskellig afhængigt af landet og laboratorier

Azupel Marokko
Cidomycin Storbritanien, Tunesien, Ægypten
Dabroson Grækenland
Epigent Ægypten
Garalone Portugal
Garamicina Brasilien, Colombia, Ecuador, Mexico
Garamycin Danmark, Forenede Arabiske Emirater, Grækenland, Holland, Indien, Kroatien, Norge, Polen, Schweiz, Ægypten
Genmisin Tyrkiet
Gensif Tyrkiet
Gensumycin Finland, Norge, Sverige
Genta-Gobens Spanien
Gentalline Marokko
Gentamen Marokko
Genticin Forenede Arabiske Emirater, Irland, Storbritanien
Gentreks Tyrkiet
Hexamycin Danmark
Plurisemina Argentina
Refobacin Colombia, Tyskland, Ægypten, Østrig
Rupegen Argentina

Faktorer der påvirker stabiliteten   Injektion   Faktorer der påvirker stabiliteten : Gentamicin sulfate        

  Mentions Légales