Ostatnia aktualizacja :
18/03/2026
Antybiotyk   Gentamicin sulfate  
Injekcje
Krople oczne
Trwałość roztworów Trwałość w mieszaninie Czynnik wpływający na trwałość Zgodność Sposób podania Bibliografia pdf
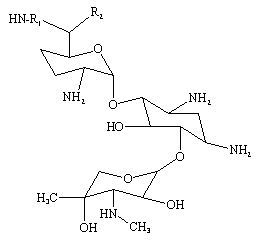
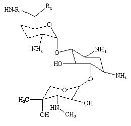
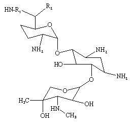
   Struktura chemiczna  

Nazwa handlowa   Nazwa handlowa     

Trade names are indicative and excipients composition can be different depending on the country and manufacturers

Azupel Peru
Cidomycin Egipt, Tunisie, Wielka Brytania
Dabroson Grecja
Epigent Egipt
Garalone Portugalia
Garamicina Brazylia, Ekwador, KolumbiaKolumbia, Meksyk
Garamycin Chorwacja, Dania, Egipt, Grecja, Holandia, Indie, Norwegia, Polska, Szwajcaria, Zjednoczone Emiraty Arabskie
Genmisin Turcja
Gensif Turcja
Gensumycin Finlandia, Norwegia, Szwecja
Genta-Gobens Hiszpania
Gentalline Maroko
Gentamen Maroko
Genticin Irlandia, Wielka Brytania, Zjednoczone Emiraty Arabskie
Gentreks Turcja
Hexamycin Dania
Plurisemina Argentyna
Refobacin Austria, Egipt, KolumbiaKolumbia, Niemcy
Rupegen Argentyna

Czynnik wpływający na trwałość   Injekcje   Czynnik wpływający na trwałość : Gentamicin sulfate        

  Mentions Légales