zadnja posodobitev :
18/03/2026
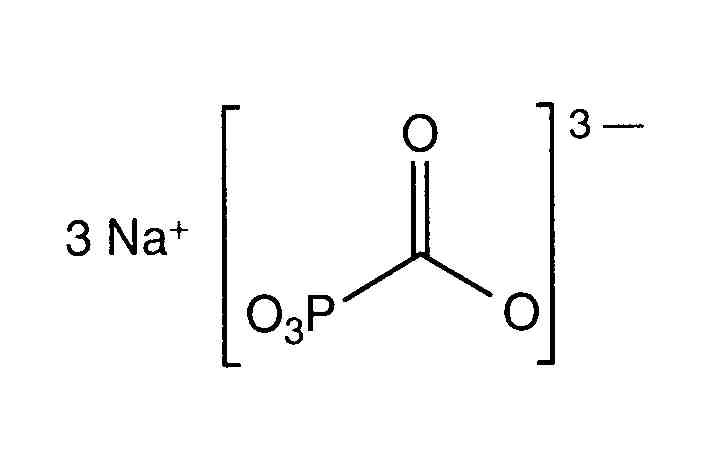
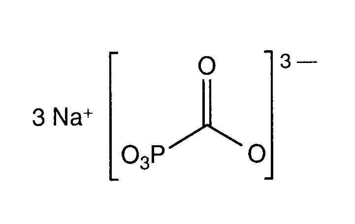
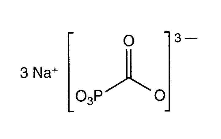
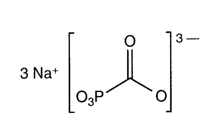
Protivirusno zdravilo   Foscarnet sodium  
Brizgalka
Stabilnost raztopine Stabilnost mešanice Faktorji, ki vplivajo na stabilnost Kompatibilnost način aplikacije Viri pdf
   Kemična formula  

Lastniško ime   Lastniško ime     

Sestava pomožnih snovi je med paralelami lahko različna

Foscarnet Argentina, Čile, Ekvador, Kolumbija, Mehika, Peru, Portugalska, Španija, Združene države Amerike
Foscavir Avstralija, Avstrija, Belgija, Francija, Grčija, Italija, Luksemburg, Madžarska, Nemčija, Nizozemska, nova Zelandija, Španija, Švedska, Švica, Velika Britanija, Združene države Amerike
Stabilnost raztopine   Brizgalka   Stabilnost raztopine : Foscarnet sodium     
Vsebnik Topilo Koncentracija Temperatura Shranjevanje Trajanje stabilnosti Viri
Polivinil klorid Natrijev klorid 0,9% 12 mg/ml 25°C Z ali brez svetlobe
30 Dan
2
 Stopnja dokaza C

Polivinil klorid Natrijev klorid 0,9% 12 mg/ml 25°C Nedoločeno
35 Dan
75
 Stopnja dokaza C

Polivinil klorid Natrijev klorid 0,9% 12 mg/ml 5°C Zaščiteno pred svetlobo
30 Dan
2
 Stopnja dokaza C

Polivinil klorid Natrijev klorid 0,9% 12 mg/ml 5°C Zaščiteno pred svetlobo
35 Dan
75
 Stopnja dokaza C

Polivinil klorid Glukoza 5% 12 mg/ml 25°C Nedoločeno
35 Dan
75
 Stopnja dokaza C

Polivinil klorid Glukoza 5% 12 mg/ml 5°C Zaščiteno pred svetlobo
35 Dan
75
 Stopnja dokaza C

Poliizoprenski elastomer Natrijev klorid 0,9% 2 & 20 mg/ml 25°C Nedoločeno
4 Dan
604
Podatki stabilnosti proizvajalca

Poliizoprenski elastomer Natrijev klorid 0,9% 2 & 20 mg/ml 4°C Zaščiteno pred svetlobo
14 Dan
604
Podatki stabilnosti proizvajalca

Poliizoprenski elastomer Glukoza 5% 2 & 20 mg/ml 25°C Nedoločeno
4 Dan
604
Podatki stabilnosti proizvajalca

Poliizoprenski elastomer Glukoza 5% 2 & 20 mg/ml 4°C Zaščiteno pred svetlobo
14 Dan
604
Podatki stabilnosti proizvajalca


  Mentions Légales