Ultimele actualizari :
03/02/2026
Antiviral   Foscarnet sodium  
Injectabil
Stabilitatea in solutie Stabilitatea in amestec Factorii care influenteaza stabilitatea Compatibilitate Microunde Bibliografie pdf
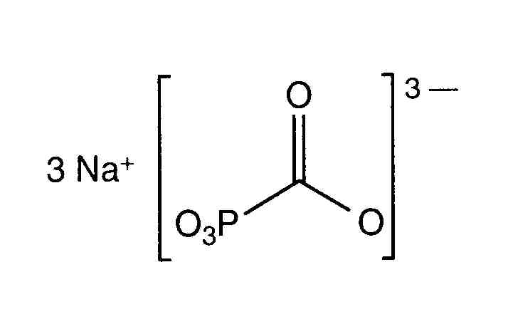
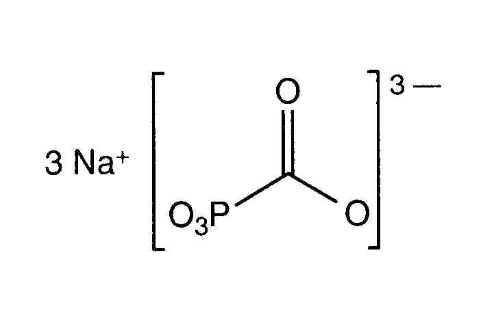
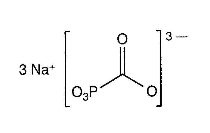
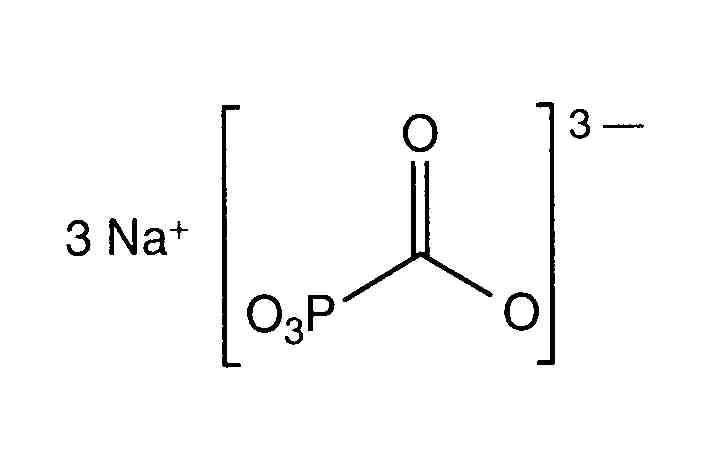
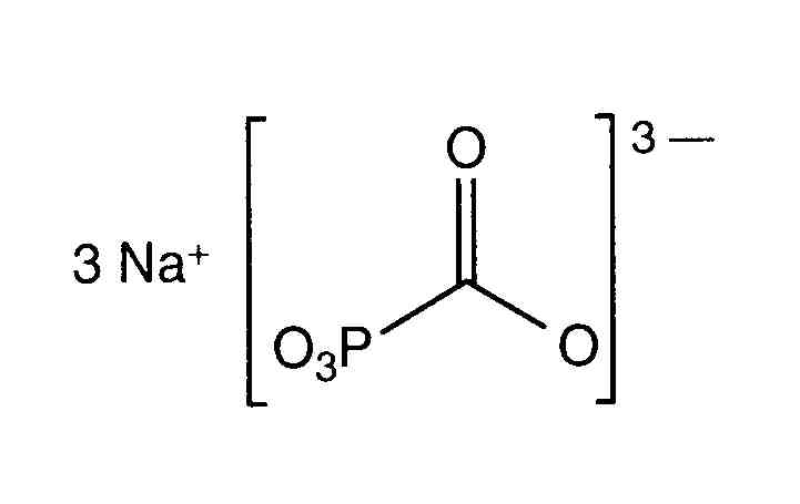
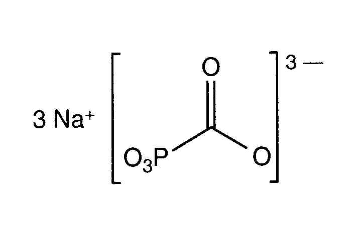
   Formula chimica  

Denumirea comerciala   Denumirea comerciala     

Trade names are indicative and excipients composition can be different depending on the country and manufacturers

Foscarnet Argentina, Chilli, Columbia, Ecuador, Mexic, Peru, Portugalia, Spania, SUA
Foscavir Australia, Austria, Belgia, Elvetia, Franta, Germania, Grecia, Italia, Luxemburg, Marea Britanie, noua Zeelandă, Olanda, Spania, SUA, Suedia, Ungaria
Stabilitatea in solutie   Injectabil   Stabilitatea in solutie : Foscarnet sodium     
Continut Solvent Concentratie Temperatura Conservare Durata stabilității Bibiografie
clorura de polivinil clorura de sodiu 0,9% 12 mg/ml 25°C In prezenta sau absenta luminii
30 Ziua
2
Nivel de evidență C

clorura de polivinil clorura de sodiu 0,9% 12 mg/ml 25°C Neprecizat
35 Ziua
75
Nivel de evidență C

clorura de polivinil clorura de sodiu 0,9% 12 mg/ml 5°C Ferit de lumina
30 Ziua
2
Nivel de evidență C

clorura de polivinil clorura de sodiu 0,9% 12 mg/ml 5°C Ferit de lumina
35 Ziua
75
Nivel de evidență C

clorura de polivinil Glucoza 5% 12 mg/ml 25°C Neprecizat
35 Ziua
75
Nivel de evidență C

clorura de polivinil Glucoza 5% 12 mg/ml 5°C Ferit de lumina
35 Ziua
75
Nivel de evidență C

Elastomer poliizoprenic clorura de sodiu 0,9% 2 & 20 mg/ml 25°C Neprecizat
4 Ziua
604
Documentele de stabilitate ale producătorului

Elastomer poliizoprenic clorura de sodiu 0,9% 2 & 20 mg/ml 4°C Ferit de lumina
14 Ziua
604
Documentele de stabilitate ale producătorului

Elastomer poliizoprenic Glucoza 5% 2 & 20 mg/ml 25°C Neprecizat
4 Ziua
604
Documentele de stabilitate ale producătorului

Elastomer poliizoprenic Glucoza 5% 2 & 20 mg/ml 4°C Ferit de lumina
14 Ziua
604
Documentele de stabilitate ale producătorului


  Mentions Légales