Viimeisin päivitys :
18/03/2026
Viruslääkkeet   Foscarnet sodium  
Injektioneste
Stabilius liuoksessa Stabilius seoksissa Tekijät, jotka vaikuttavat stabiliuteen Yhteensopivuus Antotapa Viitteet pdf
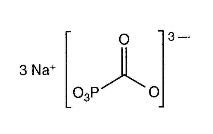
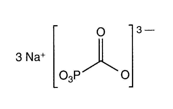
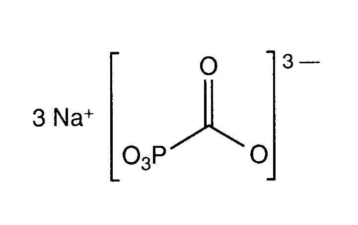
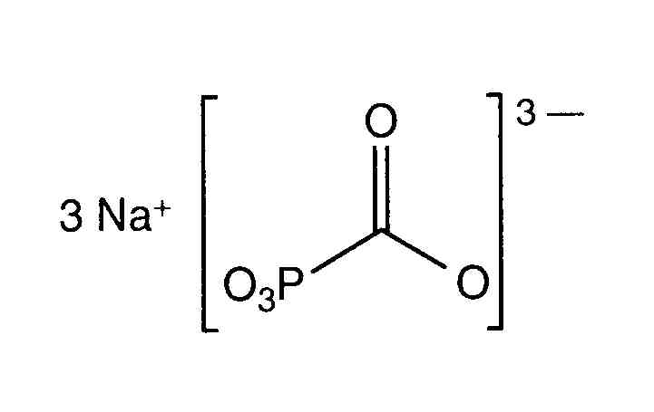
   Kemiallinen rakenne  

Kauppanimi   Kauppanimi     

Trade names are indicative and excipients composition can be different depending on the country and manufacturers

Foscarnet Argentiina, Chile, Ecuador, Espanja, Kolumbia, Marokko, Meksiko, Portugali, Yhdysvallat
Foscavir Australia, Belgia, Espanja, Hollanti, Iso-Britannia, Italia, Itävalta, Kreikka, Luxemburg, New Zealand, Ranska, Ruotsi, Saksa, Sveitsi, Unkari, Yhdysvallat
Stabilius liuoksessa   Injektioneste   Stabilius liuoksessa : Foscarnet sodium     
Astia Liuotin Konsentraatio Lämpötila Säilytys Vakauden kesto Viitteet
Polyvinyylikloridi Natriumkloridi 0,9% 12 mg/ml 25°C Valossa tai suojassa valolta
30 Päivä
2
Näytön laajuus C

Polyvinyylikloridi Natriumkloridi 0,9% 12 mg/ml 25°C Ei määritetty
35 Päivä
75
Näytön laajuus C

Polyvinyylikloridi Natriumkloridi 0,9% 12 mg/ml 5°C Suojattava valolta
30 Päivä
2
Näytön laajuus C

Polyvinyylikloridi Natriumkloridi 0,9% 12 mg/ml 5°C Suojattava valolta
35 Päivä
75
Näytön laajuus C

Polyvinyylikloridi Glukoosi 5% 12 mg/ml 25°C Ei määritetty
35 Päivä
75
Näytön laajuus C

Polyvinyylikloridi Glukoosi 5% 12 mg/ml 5°C Suojattava valolta
35 Päivä
75
Näytön laajuus C

Polyisopreeni elastomeeri Natriumkloridi 0,9% 2 & 20 mg/ml 25°C Ei määritetty
4 Päivä
604
Valmistajan antamat stabiiliustiedot

Polyisopreeni elastomeeri Natriumkloridi 0,9% 2 & 20 mg/ml 4°C Suojattava valolta
14 Päivä
604
Valmistajan antamat stabiiliustiedot

Polyisopreeni elastomeeri Glukoosi 5% 2 & 20 mg/ml 25°C Ei määritetty
4 Päivä
604
Valmistajan antamat stabiiliustiedot

Polyisopreeni elastomeeri Glukoosi 5% 2 & 20 mg/ml 4°C Suojattava valolta
14 Päivä
604
Valmistajan antamat stabiiliustiedot


  Mentions Légales