Ostatnia aktualizacja :
18/03/2026
Lek przeciwwirusowy   Foscarnet sodium  
Injekcje
Trwałość roztworów Trwałość w mieszaninie Czynnik wpływający na trwałość Zgodność Sposób podania Bibliografia pdf
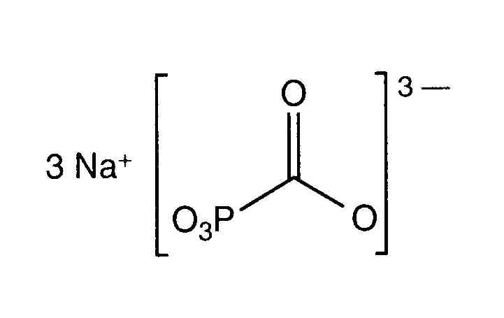
   Struktura chemiczna  

Nazwa handlowa   Nazwa handlowa     

Trade names are indicative and excipients composition can be different depending on the country and manufacturers

Foscarnet Argentyna, Chile, Ekwador, Hiszpania, KolumbiaKolumbia, Meksyk, Peru, Portugalia, Stany Zjednoczone Ameryki
Foscavir Australia, Austria, Belgia, Francja , Grecja, Hiszpania, Holandia, Luksemburg, Niemcy, nowa Zelandia, Stany Zjednoczone Ameryki, Szwajcaria, Szwecja, Węgry, Wielka Brytania, Włochy
Trwałość roztworów   Injekcje   Trwałość roztworów : Foscarnet sodium     
Pojemnik Rozpuszczalnik Stężenie Temperatura Przechowywanie Czas trwania stabilności Bibliografia
Polichlorek winylu Chlorek sodu 0,9% 12 mg/ml 25°C Przy świetle lub w ciemności
30 Dzień
2
Poziom wiarygodności C

Polichlorek winylu Chlorek sodu 0,9% 12 mg/ml 25°C Nie wyszczególniony
35 Dzień
75
Poziom wiarygodności C

Polichlorek winylu Chlorek sodu 0,9% 12 mg/ml 5°C Chronić od światła
30 Dzień
2
Poziom wiarygodności C

Polichlorek winylu Chlorek sodu 0,9% 12 mg/ml 5°C Chronić od światła
35 Dzień
75
Poziom wiarygodności C

Polichlorek winylu Glukoza 5% 12 mg/ml 25°C Nie wyszczególniony
35 Dzień
75
Poziom wiarygodności C

Polichlorek winylu Glukoza 5% 12 mg/ml 5°C Chronić od światła
35 Dzień
75
Poziom wiarygodności C

Elastomer poliizoprenowy Chlorek sodu 0,9% 2 & 20 mg/ml 25°C Nie wyszczególniony
4 Dzień
604
Dane stabilności producenta

Elastomer poliizoprenowy Chlorek sodu 0,9% 2 & 20 mg/ml 4°C Chronić od światła
14 Dzień
604
Dane stabilności producenta

Elastomer poliizoprenowy Glukoza 5% 2 & 20 mg/ml 25°C Nie wyszczególniony
4 Dzień
604
Dane stabilności producenta

Elastomer poliizoprenowy Glukoza 5% 2 & 20 mg/ml 4°C Chronić od światła
14 Dzień
604
Dane stabilności producenta


  Mentions Légales