Poslední aktualizace :
18/03/2026
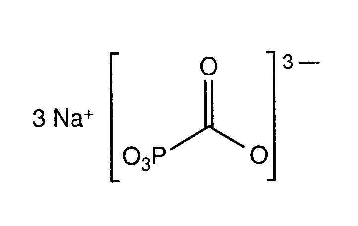
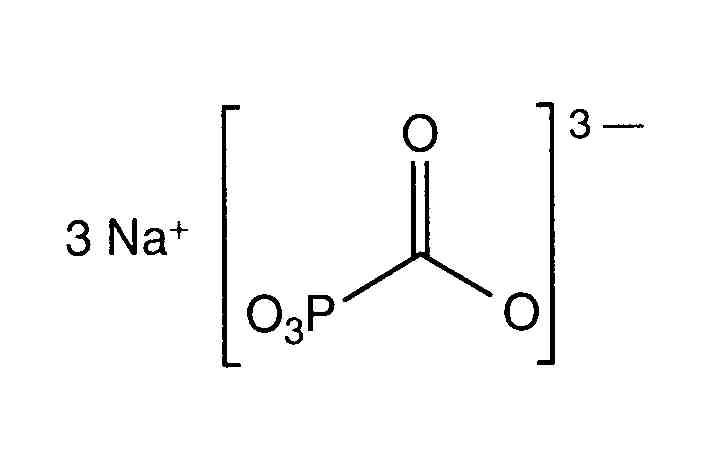
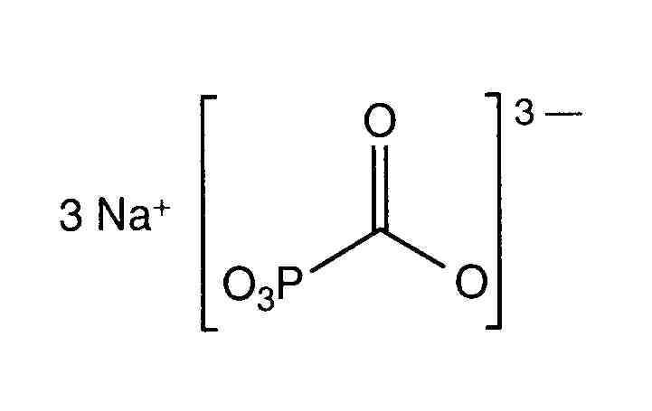
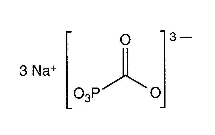
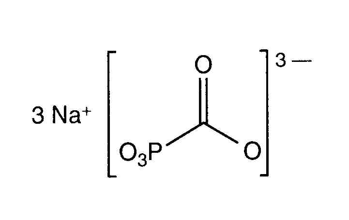
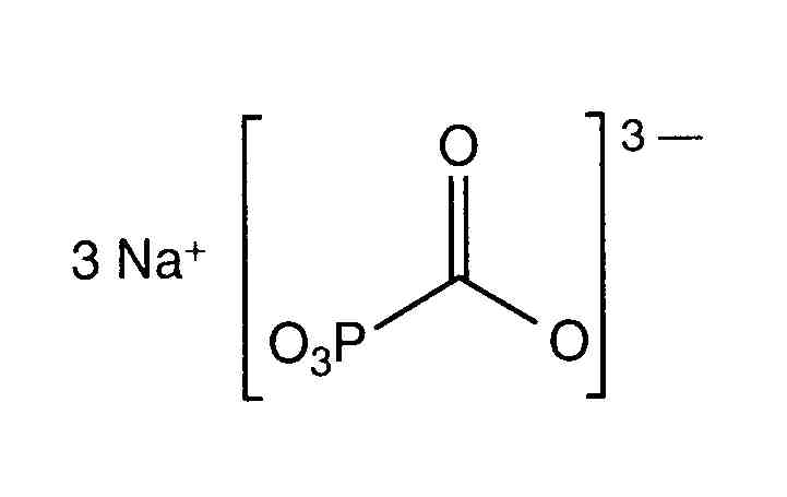
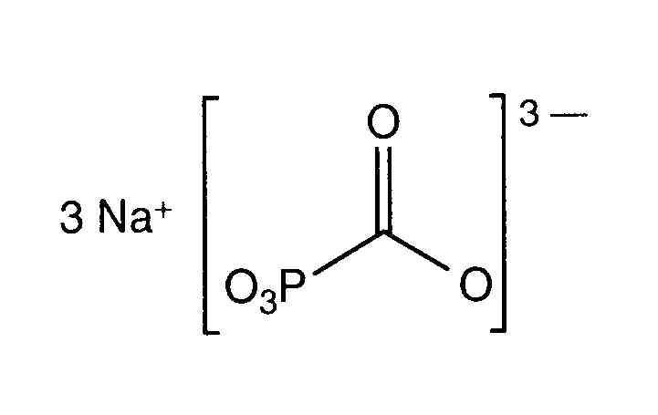
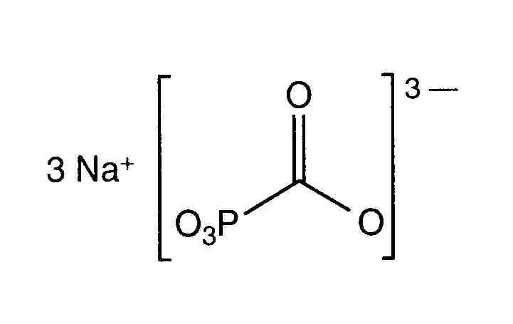
Priešvirusinis vaistas   Foscarnet sodium  
Įpurškimas
Tirpalų stabilumas Mišinių stabilumas Stabilumą lemiantys veiksniai Suderinamumas Leidimo būdai Bibliografija pdf
   Cheminė sandara  

Prekinis pavadinimas   Prekinis pavadinimas     

Trade names are indicative and excipients composition can be different depending on the country and manufacturers

Foscarnet Argentina, Čilė, Ekvadoras, Ispanija, Jungtinės Amerikos Valstijos, Kolumbija, Meksikas, Peru, Portugalija
Foscavir Australija, Austrija, Belgija, Didžioji Britanija, Graikija, Ispanija, Italija, Jungtinės Amerikos Valstijos, Liuksemburgas, Naujojoje Zelandijoje, Olandija, Prancūzija, Švedija, Šveicarija, Vengrija, Vokietija
Tirpalų stabilumas   Įpurškimas   Tirpalų stabilumas : Foscarnet sodium     
Pakuotė Tirpiklis Koncentracija Temperatūra Laikymas Stabilumo trukmė Nuorodos
Polivinilchloridas Natrio chloridas 0,9% 12 mg/ml 25°C Ir šviesoje, ir tamsoje
30 Diena
2
Bandymo lygis C

Polivinilchloridas Natrio chloridas 0,9% 12 mg/ml 25°C Nenurodyta
35 Diena
75
Bandymo lygis C

Polivinilchloridas Natrio chloridas 0,9% 12 mg/ml 5°C Apsaugotas nuo šviesos
30 Diena
2
Bandymo lygis C

Polivinilchloridas Natrio chloridas 0,9% 12 mg/ml 5°C Apsaugotas nuo šviesos
35 Diena
75
Bandymo lygis C

Polivinilchloridas Gliukozė 5% 12 mg/ml 25°C Nenurodyta
35 Diena
75
Bandymo lygis C

Polivinilchloridas Gliukozė 5% 12 mg/ml 5°C Apsaugotas nuo šviesos
35 Diena
75
Bandymo lygis C

Poliizopreno elastomeras Natrio chloridas 0,9% 2 & 20 mg/ml 25°C Nenurodyta
4 Diena
604
Gamintojo stabilumo duomenys

Poliizopreno elastomeras Natrio chloridas 0,9% 2 & 20 mg/ml 4°C Apsaugotas nuo šviesos
14 Diena
604
Gamintojo stabilumo duomenys

Poliizopreno elastomeras Gliukozė 5% 2 & 20 mg/ml 25°C Nenurodyta
4 Diena
604
Gamintojo stabilumo duomenys

Poliizopreno elastomeras Gliukozė 5% 2 & 20 mg/ml 4°C Apsaugotas nuo šviesos
14 Diena
604
Gamintojo stabilumo duomenys


  Mentions Légales