Seneste opdatering :
18/03/2026
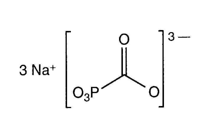
Antiviral   Foscarnet sodium  
Injektion
Stabilitet i (vandige) opløsninger Stabilitet i blandinger Faktorer der påvirker stabiliteten Kompatibilitet Administrationsvej Bibliografi pdf
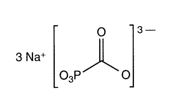
   Kemisk struktur  

Handelsnavn   Handelsnavn     

Handel navne er vejledende og hjælpestoffer sammensætning kan være forskellig afhængigt af landet og laboratorier

Foscarnet Argentina, Chile, Colombia, Ecuador, Marokko, Mexico, Portugal, Spanien, USA
Foscavir Australien, Belgien, Frankrig, Grækenland, Holland, Italien, Luxemborg, New Zealand, Schweiz, Spanien, Storbritanien, Sverige, Tyskland, Ungarn, USA, Østrig
Stabilitet i (vandige) opløsninger   Injektion   Stabilitet i (vandige) opløsninger : Foscarnet sodium     
Beholder Opløsningsmiddel Koncentration Temperatur Konservering Varighed af stabilitet Bibliografi
Polyvinylklorid 0,9 % Natriumklorid 12 mg/ml 25°C Med eller uden lys
30 Dag
2
Level af bevismateriale C

Polyvinylklorid 0,9 % Natriumklorid 12 mg/ml 25°C Ikke nærmere angivet
35 Dag
75
Level af bevismateriale C

Polyvinylklorid 0,9 % Natriumklorid 12 mg/ml 5°C Beskyt mod lys
30 Dag
2
Level af bevismateriale C

Polyvinylklorid 0,9 % Natriumklorid 12 mg/ml 5°C Beskyt mod lys
35 Dag
75
Level af bevismateriale C

Polyvinylklorid 5 % Glukose 12 mg/ml 25°C Ikke nærmere angivet
35 Dag
75
Level af bevismateriale C

Polyvinylklorid 5 % Glukose 12 mg/ml 5°C Beskyt mod lys
35 Dag
75
Level af bevismateriale C

Polyisopren elastomer 0,9 % Natriumklorid 2 & 20 mg/ml 25°C Ikke nærmere angivet
4 Dag
604
Producentens stabilitet data

Polyisopren elastomer 0,9 % Natriumklorid 2 & 20 mg/ml 4°C Beskyt mod lys
14 Dag
604
Producentens stabilitet data

Polyisopren elastomer 5 % Glukose 2 & 20 mg/ml 25°C Ikke nærmere angivet
4 Dag
604
Producentens stabilitet data

Polyisopren elastomer 5 % Glukose 2 & 20 mg/ml 4°C Beskyt mod lys
14 Dag
604
Producentens stabilitet data


  Mentions Légales