Pēdējā atjaunošana :
18/03/2026
Pretvīrusu līdzeklis   Foscarnet sodium  
Injekcija
Šķīduma stabilitāte Maisījuma stabilitāte Stabilitāti ietekmējoši faktori Saderība Levadīšanas veids Literatūras saraksts pdf
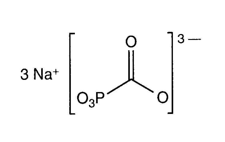
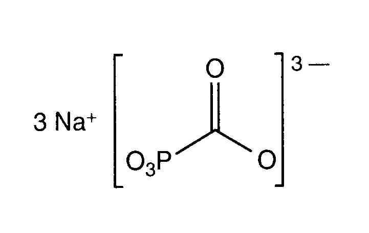
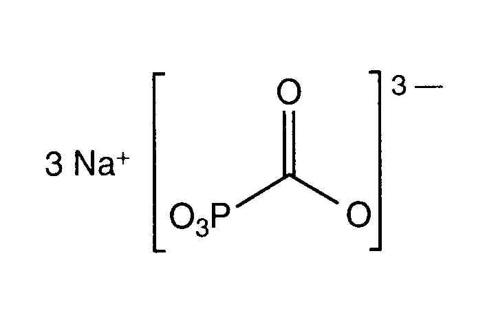
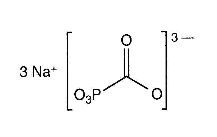
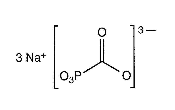
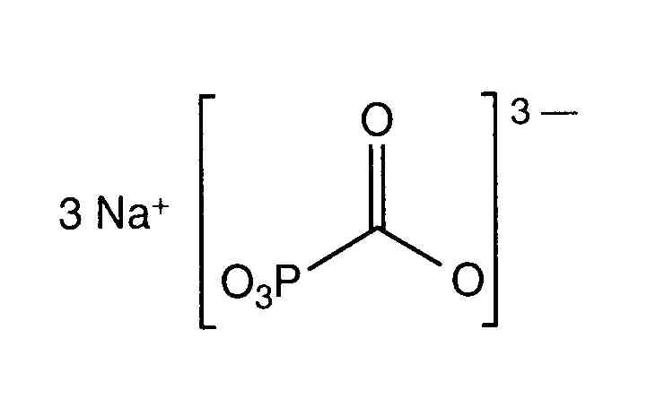
   Ķīmiskā uzbūve   

Oriģinālais nosaukums   Oriģinālais nosaukums     

Tirdzniecības nosaukumi ir apzīmējoši un palīgvielas var atšķirties dažādām valstīm un laboratorijām

Foscarnet Amerikas Savienotās Valstis, Argentīna, Čīle, Ekvadora, Kolumbija, Meksika, Peru, Portugāle, Spānija
Foscavir Amerikas Savienotās Valstis, Austrālija, Austrija, Beļģija, Francija, Grieķija, Holande, Itālija, Jaunzēlande, Lielbritānija, Luksemburga, Spānija, Šveice, Ungārija, Vācija, Zviedrija
Šķīduma stabilitāte   Injekcija   Šķīduma stabilitāte : Foscarnet sodium     
Iepakojums Šķīdinātājs Koncentrācija Temperatūra Glabāšana Stabilitātes ilgums Literatūras saraksts
Polivinilhlorīds Nātrija hlorīds 0.9% 12 mg/ml 25°C Ar vai bez gaismas
30 Diena
2
Pierādījumu līmenis C

Polivinilhlorīds Nātrija hlorīds 0.9% 12 mg/ml 25°C Nav specifisks
35 Diena
75
Pierādījumu līmenis C

Polivinilhlorīds Nātrija hlorīds 0.9% 12 mg/ml 5°C Aizsargāt no gaismas
30 Diena
2
Pierādījumu līmenis C

Polivinilhlorīds Nātrija hlorīds 0.9% 12 mg/ml 5°C Aizsargāt no gaismas
35 Diena
75
Pierādījumu līmenis C

Polivinilhlorīds 5% glikoze 12 mg/ml 25°C Nav specifisks
35 Diena
75
Pierādījumu līmenis C

Polivinilhlorīds 5% glikoze 12 mg/ml 5°C Aizsargāt no gaismas
35 Diena
75
Pierādījumu līmenis C

Poliizoprēna elastomērs Nātrija hlorīds 0.9% 2 & 20 mg/ml 25°C Nav specifisks
4 Diena
604
Ražotāja stabilitātes dati

Poliizoprēna elastomērs Nātrija hlorīds 0.9% 2 & 20 mg/ml 4°C Aizsargāt no gaismas
14 Diena
604
Ražotāja stabilitātes dati

Poliizoprēna elastomērs 5% glikoze 2 & 20 mg/ml 25°C Nav specifisks
4 Diena
604
Ražotāja stabilitātes dati

Poliizoprēna elastomērs 5% glikoze 2 & 20 mg/ml 4°C Aizsargāt no gaismas
14 Diena
604
Ražotāja stabilitātes dati


  Mentions Légales