Ultimo aggiornamento :
18/03/2026
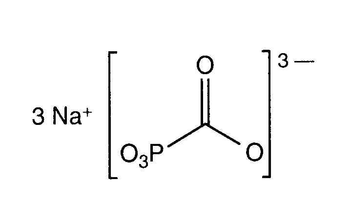
Antivirale   Foscarnet sodium  
Iniezione
Stabilità in soluzione Stabilità in miscela Fattori che influenzano la stabilità Compatibilità metodo di iniezione Bibliografia pdf
   Struttura chimica  

Nome commerciale   Nome commerciale     

Trade names are indicative and excipients composition can be different depending on the country and manufacturers

Foscarnet Argentina, Chile, Colombia, Ecuador, Messico, Perù, Portogallo, Spagna, Stati Uniti d’America
Foscavir Australia, Austria, Belgio, Francia, Germania, Gran Bretagna, Grecia, Italia, Lussemburgo, nuova Zelanda, Paesi Bassi, Spagna, Stati Uniti d’America, Svezia, Svizzera, Ungheria
Stabilità in soluzione   Iniezione   Stabilità in soluzione : Foscarnet sodium     
contenitore Solvente Concentrazione Temperatura Conservazione Durata della stabilità Bibliografia
Cloruro di polivinile Cloruro di sodio 0,9% 12 mg/ml 25°C Con o senza luce
30 Giorno
2
Livello di evidenza C

Cloruro di polivinile Cloruro di sodio 0,9% 12 mg/ml 25°C Non precisata
35 Giorno
75
Livello di evidenza C

Cloruro di polivinile Cloruro di sodio 0,9% 12 mg/ml 5°C Al riparo dalla luce
30 Giorno
2
Livello di evidenza C

Cloruro di polivinile Cloruro di sodio 0,9% 12 mg/ml 5°C Al riparo dalla luce
35 Giorno
75
Livello di evidenza C

Cloruro di polivinile Glucosio 5% 12 mg/ml 25°C Non precisata
35 Giorno
75
Livello di evidenza C

Cloruro di polivinile Glucosio 5% 12 mg/ml 5°C Al riparo dalla luce
35 Giorno
75
Livello di evidenza C

Elastomero poliisoprenico Cloruro di sodio 0,9% 2 & 20 mg/ml 25°C Non precisata
4 Giorno
604
Dati di stabilità del produttore

Elastomero poliisoprenico Cloruro di sodio 0,9% 2 & 20 mg/ml 4°C Al riparo dalla luce
14 Giorno
604
Dati di stabilità del produttore

Elastomero poliisoprenico Glucosio 5% 2 & 20 mg/ml 25°C Non precisata
4 Giorno
604
Dati di stabilità del produttore

Elastomero poliisoprenico Glucosio 5% 2 & 20 mg/ml 4°C Al riparo dalla luce
14 Giorno
604
Dati di stabilità del produttore


  Mentions Légales