Pēdējā atjaunošana :
18/03/2026
Kardiotonisks līdzeklis   Digoxin  
Injekcija
Šķīduma stabilitāte Maisījuma stabilitāte Stabilitāti ietekmējoši faktori Saderība Levadīšanas veids Literatūras saraksts pdf
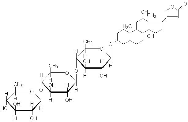
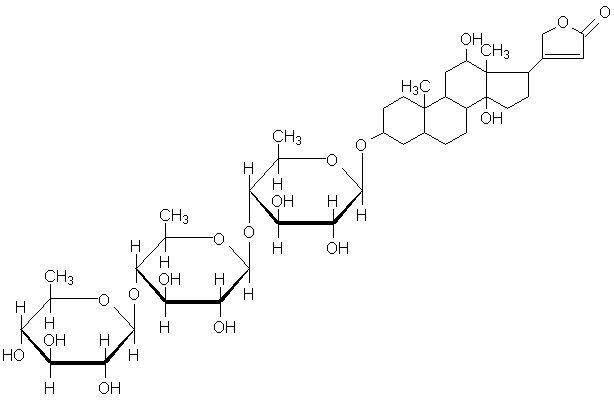
   Ķīmiskā uzbūve   

Oriģinālais nosaukums   Oriģinālais nosaukums     

Tirdzniecības nosaukumi ir apzīmējoši un palīgvielas var atšķirties dažādām valstīm un laboratorijām

Cardixin Ēģipte
Celoxin Indija
Digibind Amerikas Savienotās Valstis, Jaunzēlande
Digocard Argentīna, Ekvadora
Digosin Japāna
Digoxin Amerikas Savienotās Valstis, Argentīna, Dānija, Ekvadora, Irāna, Kanāda, Lielbritānija, Polija, Somija, Ungārija, Zviedrija
Digoxina Argentīna, Ekvadora, Meksika, Spānija, Venecuēla
Digoxine Francija, Grieķija, Šveice
Geoxin Indija
Lanibos Saūda Arābija
Lanicor Vācija
Lanoxin Amerikas Savienotās Valstis, Apvienotie Arābu Emirāti, Beļģija, Čīle, Ēģipte, Holande, Irāna, Īrija, Itālija, Jaunzēlande, Lielbritānija, Luksemburga, Malaizija, Norvēģija, Portugāle, Saūda Arābija
Loxinan Meksika
Literatūras saraksts   Injekcija   Literatūras saraksts : Digoxin  
tips publicēšana
59 Žurnāls Trissel LA, Gilbert DL, Martinez JF, Kim MC.
Compatibility of remifentanil hydrochloride with selected drugs during simulated Y-site administration.
Am J Health-Syst Pharm 1997 ; 54: 2192-2196.
62 Žurnāls Pugh CB, Pabis DJ, Rodriguez C.
Visual compatibility of morphine sulfate and meperidine hydrochloride with other injectable drugs during simulated Y-site injection.
Am J Hosp Pharm 1991 ; 48: 123-125.
63 Žurnāls Marquardt Ed, Lam SSY.
Visual compatibility of fentanyl citrate with selected drugs during simulated Y-site injection.
Am J Hosp Pharm 1994 ; 51: 811-812.
73 Žurnāls Lor E, Takagi J.
Visual compatibility of foscarnet with other injectable drugs.
Am J Hosp Pharm 1990 ; 47: 157-159.
93 Žurnāls Hutchings SR, Rusho WJ, Tyler LS.
Compatibility of cefmetazole sodium with commonly used drugs during Y-site delivery.
Am J Health-Syst Pharm 1996 ; 53: 2185-2188.
176 Žurnāls Mantong ML, Marquardt ED.
Visual compatibility of midazolam hydrochloride with selected drugs during simulated Y-site injection.
Am J Health-Syst Pharm 1995 ; 52: 2567-2568.
191 Žurnāls Riley CM.
Stability of milrinone and digoxin, furosemide, procainamide hydrochloride, propranolol hydrochloride, quinidine gluconate, or verapamil hydrochloride in 5% dextrose injection.
Am J Hosp Pharm 1988 ; 45: 2079-2091.
198 Žurnāls Gayed AA, Kheshary PR, Hinkle RL.
Visual compatibility of diltiazem injection with various diluents and medications during simulated Y-site injection.
Am J Health-Syst Pharm 1995 ; 52: 516-520.
266 Žurnāls Patel PR.
Compatibility of meropenem with commonly used injectable drugs.
Am J Health-Syst Pharm 1996 ; 53: 2853-2855.
288 Žurnāls Cervenka P, Dejong DJ, Butler BL, Monzingo MD.
Visual compatibility of injectable ciprofloxacin lactate with selected injectable drugs during simulated Y-site administration.
Hosp Pharm 1992 ; 27: 957-958,961-962.
289 Žurnāls Jim LK.
Physical and chemical compatibility of intravenous ciprofloxacin with other drugs.
Ann Pharmacotherapy 1993 ; 27: 704-707.
299 Žurnāls Trissel LA, Martinez JF, Gilbert DL.
Compatibility of cisatracurium besylate with selected drugs during simulated Y-site administration.
Am J Health-Syst Pharm 1997 ; 54: 1735-1741.
300 Žurnāls Trissel LA, Gilbert DL, Martinez JF.
Compatibility of propofol injectable emulsion with selected drugs during simulated Y-site administration.
Am J Health-Syst Pharm 1997 ; 54: 1287-1292.
301 Žurnāls Trissel LA, Gilbert DL, Martinez JF, Baker MB, Walter WV, Mirtallo JM.
Compatibility of parenteral nutrient solutions with selected drugs during simulated Y-site administration.
Am J Health-Syst Pharm 1997 ; 54: 1295-1300.
397 Žurnāls Fong PA, Ward J.
Visual compatibility of intravenous famotidine with selected drugs.
Am J Hosp Pharm 1989 ; 46: 125-126.
479 Žurnāls Min DI, Brown T, HWang GC.
Visual compatibility of tacrolimus with commonly used drugs during simulated Y-site injection.
Am J Hosp Pharm 1992 ; 49: 2964-2966.
496 Žurnāls Lor E, Sheybani T, Takagi J.
Visual compatibility of fluconazole with commonly used injectable drugs during simulated Y-site administration.
Am J Hosp Pharm 1991 ; 48: 744-746.
618 Žurnāls Shank WA, Coupal JJ.
Stability of digoxin in common large-volume injections.
Am J Hosp Pharm 1982 ; 39: 844-846.
619 Žurnāls Kirschenbaum HL, Aronoff W, Perentesis GP, Plitz GW, Cutie AJ.
Stability and compatibility of lidocaine hydrochloride with selected large-volume parenterals and drugs additives.
Am J Hosp Pharm 1982 ; 39: 1013-1015.
660 Žurnāls Michaels MR, Stauffer GL, Haas DP.
Propofol compatibility with other intravenous drug products - Two new methods of evaluating IV emulsion compatibility.
Ann Pharmacotherapy 1996 ; 30: 228-232.
706 Žurnāls Cutie MR.
Compatibility of verapamil hydrochloride with other additives.
Am J Hosp Pharm 1981 ; 38: 231.
730 Žurnāls Allen LV, Saul Levinson R, Phisutsinthop D.
Compatibility of various admixtures with secondary additives at Y-injection site of intravenous administration sets.
Am J Hosp Pharm 1977 ; 34: 939-943.
921 Žurnāls Trissel LA, Gilbert DL, Martinez JF.
Incompatibility and compatibility of amphotericin B cholesteryl sulfate complex with selected other drugs during simulated Y-site administration.
Hosp Pharm 1998 ; 33: 284-292.
1058 Žurnāls Kirschenbaum HL, Aronoff W, Piltz GW, Perentesis GP, Cutie AJ.
Compatibility and stability of dobutamine hydrochloride with large-volume parenterals and selected additives.
Am J Hosp Pharm 1983 ; 40: 1690-1691.
1193 Žurnāls Perentesis GP, Plitz GW, Kirschenbaum HL, Navalakha P, Aronoff W, Cutie AJ.
Stability and visual compatibility of bretylium tosylate with selected large-volume parenterals and additives.
Am J Hosp Pharm 1983 ; 40: 1010-1012.
1201 Žurnāls Yuhas EM, Lofton FT, Rosenberg HA, Mayron D, Baldinus JG.
Cimetidine hydrochloride compatibility III: Room temperature stability in drug admixtures.
Am J Hosp Pharm 1981 ; 38: 1919-1922.
1232 Žurnāls Beatson C, Taylor A.
A physical compatibility study of furosemide & flucloxacillin injections.
Br J Pharm Pract 1987 ; 9: 223-226, 236.
1269 Žurnāls DeMuynck C, De Vroe C, Remon JP, Colardyn F.
Binding of drugs to end-line filters: a study of four commonly administered drugs in intensive care units.
J Clin Pharm Ther 1988 ; 13: 335-340.
1338 Žurnāls Baptista RJ, Dumas GJ, Bistrian BR, Condella F, Blackburn GL.
Compatibility of total nutrient admixtures and secondary cardiovascular medications.
Am J Hosp Pharm 1985 ; 42: 777-778.
1415 Žurnāls Trissel L.A, Gilbert D.L, Martinez J.F, Baker M.B, Walter W.V, Mirtallo J.M.
Compatibility of medications with 3-in-1 parenteral nutrition admixtures.
JPEN 1999 ; 23: 67-74.
1611 Žurnāls Chalmers JR, Bobek MB, Militello MA.
Visual compatibility of amiodarone hydrochloride injection with various intravenous drugs.
Am J Health-Syst Pharm 2001 ; 58: 504-506.
1625 Žurnāls Trissel LA, Saenz C, Williams YW, Ingram D.
Incompatibilities of lansoprazole injection with other drugs during simulated Y-site coadministration.
Int J Pharm Compound 2001 ; 5: 314-321.
1712 Žurnāls Trissel LA, Saenz CA.
Compatibility screening of Precedex during simulated Y-site administration with other drugs.
Int J Pharm Compound 2002 ; 6: 230-233.
1713 Žurnāls Trissel LA, Saenz CA.
Compatibility screening of bivalirudin during simulated Y-site administration with other drugs.
Int J Pharm Compound 2002 ; 6: 311-315.
1721 Žurnāls Trissel LA, Williams KY, Baker MB.
Compatibility screening of Hextend during simulated Y-site administration with other drugs.
Int J Pharm Compound 2001 ; 5: 69-72.
1803 Žurnāls Trissel, LA, Saenz CA, Ogundele OB, Ingram D, Baker MB.
Compatibility of fenoldopam mesylate with other drugs during simulated Y-site administration.
Am J Health-Syst Pharm 2003 ; 60: 80-85.
1925 Žurnāls Trissel LA , Williams KY, Gilbert DL.
Compatibility screening of linezolid injection during simulated Y-site administration with other drugs and infusion solutions.
J Am Pharm Assoc 2000 ; 40: 515-519.
1982 Žurnāls Trissel LA, Ogundele AB.
Compatibility of anidulafungin with other drugs during simulated Y-site administration.
Am J Health-Syst Pharm 2005 ; 62: 834-837.
2087 Žurnāls Ferreira E, Forest JM, Hildgen P.
Compatibility of dimenhydrinate injectable by Y administration.
Pharmactuel 2004 ; 37: 17-20.
2090 Žurnāls Pere H, Chasse V, Forest JM, Hildgen P.
Compatibility of injectable pantoprazole in Y-site administration.
Pharmactuel 2004 ; 37: 193-196.
2109 Žurnāls Pelletier E, Forest JM, Hildgen P.
Compatibilité de la kétamine injectable lors de l’administration en dérivé avec d’autres médicaments usuels.
Pharmactuel 2006 ; 39: 71-75.
2262 Žurnāls Brammer MK, Chan P, Heatherly K, Trusley C, Kupiec TC, Trissel LA, Psathas PA, Gilmor T, Schaufelberger D.
Compatibility of doripenem with other drugs during simulated Y-site administratioN
Am J Health-Syst Pharm 2008 ; 65: 1261-1265.
2269 Žurnāls Chan P, Bishop A, Kupiec TC, Trissel LA, Gole D, Jimidar IM, Vermeersch H.
Compatibility of ceftobiprole medocaril with selected drugs during simulated Y-site administration.
Am J Health-Syst Pharm 2008 ; 65, 16: 1545-1551.
3012 Žurnāls Sullivan T, Forrest J.M, Leclair G.
Compatibility of Cloxacillin Sodium with Selected Intravenous Drugs During Simulated Y-Site Administration
Hosp Pharm 2015 ; 50, 3: 214-220.
3249 Žurnāls Singh BM, Dedhiya MG, Dinunzio J, Chan P, Kupiec TC, Trissel LA, Laudano JB.
Compatibility of ceftaroline fosamil for injection with selected drugs during simulated Y-site administration.
Am J Health-Syst Pharm 2011 ; 68: 2163-2169.
3254 Žurnāls Housman S.T, Tessier P.R, Nicolau D.P, Kuti J.L.
Physical compatibility of telavancin hydrochloride with select i.v. drugs during simulated Y-site administration
Am J Health-Syst Pharm 2011 ; 68: 2265-2270.
3408 Žurnāls Tollec S, Touzin K, Pelletier E, Forest J.M.
Evaluation visuelle de la compatibilité physique de la naloxone avec d’autres médicaments intraveineux usuels.
Pharmactuel 2013 ; 46, 1 : 16-21.
3766 Žurnāls Forrest J.M, Hildgen P.
Compatibilité de l’acétylcystéine injectable lors de son administration en Y avec d’autres médicaments usuels
Pharmactuel 2014 ; 47, 3 : 161-165.
3824 Žurnāls Boudi S, Roy H, Forest JM, Leclair G.
Compatibilité physique de l'association amoxicilline-acide clavulanique en injection avec plusieurs autres médicaments lors d'une administration en Y.
Pharmactuel 2023 2023;56,3:91-98
3827 plakāts Ghazi I.M, Hamada Y, Nicolau D.P.
Compatibility of tedizolid phosphate with selected intravenous drugs via simulated Y-site conditions.
ASHP Midyear 2015
3828 plakāts Thabit A.K, Hamada Y, Nicolau D.P.
Ceftozolane/tazobactam physical compatibility during simulated Y-site administration.
ASHP Midyear 2015
3829 plakāts So W, Kim L, Thabit A.K, Nicolau D.P, Kuti J.L.
Compatibility of isavunazonium sulfate during simulated Y-site administration.
ASHP Midyear 2015
3964 Žurnāls Audet M.A, Forest E, Friciu M, Forest J.M, Leclair G.
Compatibilité du citrate de caféine injectable avec plusieurs autres médicaments.
Pharmactuel 2017 ; 50,1 : 27-33.
4055 Žurnāls Monogue M, Almarzoky Abuhussain S, Kuti J, Nicolau D.
Physical compatibility of fosfomycin for injection with select i.v. drugs during simulated Y-site administration.
Am J Health-Syst Pharm 2018 , 75, 1:36-44
4145 Žurnāls Asempa T.E, Avery L.M, Kidd J.M, Kuti J.L, Nicolau D.P.
Physical compatibility of plazomicin with select i.v. drugs during simulated Y-site administration.
Am J Health-Syst Pharm 2018 ;75,14:1048-1056
4319 Žurnāls Lessard J-J, Caron E, Schérer H, Forest J-M, Leclair G.
Compatibility of Y-site Injection of Meropenem Trihydrate With 101 Other Injectable Drugs.
Hosp Pharm 2020 ; 55, 5: 332-337.
4433 Žurnāls Ghazi I.M, El Nekidy W.S, Sood A, Dulku A, Patel R, Patel K.
Y-site Administration of Imipenem/Cilastatin/ Relebactam With Common Intravenous Medications
Clin Ther 2020 ; 42, 3: 475-485.
4528 Žurnāls Lu J, Liu Q, Kupiec T, Vail H, Lunch L, Fam D, Vu N.
Physical Compatibility of Cefiderocol with Selected Intravenous Drugs During Simulated Y-site Administration.
Int J Pharm Compound 2021 ;25,1:52-61
4571 Laboratorija Levosimendan (Simdax 2.5 mg/ml) - Summary of Product Characteristics
Orion Pharma 2010
4603 Žurnāls Vallée M, Barthélémy I, Friciu M, Pelletier E, Forest J.M, Benoit F, Leclair G.
Compatibility of Lactated Ringer’s Injection With 94 Selected Intravenous Drugs During Simulated Y-site Administration.
Hosp Pharm 2021 ; 56, 4: 228-234.
4690 Žurnāls Friciu M, Marcelin R.B, Bédard P, Forest J.M, Leclair G.
Stability of Compounded Digoxin Solution 0.05mg/mL for Injection.
Hosp Pharm 2022 ; 57, 2: 294-299.
4801 Žurnāls Ruiz V, Yuwei Shen Y, Abouelhassan Y, Fouad A, Nicolau D, Kuti J.
Physical compatibility of sulbactam/durlobactam with select intravenous drugs during simulated Y-site administration.
Am J Health-Syst Pharm 2024 ;51,1:

  Mentions Légales