最新更新 :
27/11/2025
強心薬   Digoxin  
注射薬
溶媒内の安定性 混合時の安定性 安定性に影響する因子 互換性 投与経路 引用文献 PDF
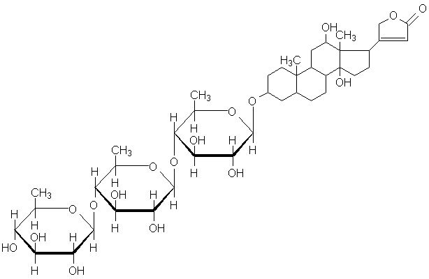
   化学構造  

商品名   商品名     

商品名、賦形剤は国、製薬会社ごとに異なることがあります

Cardixin エジプト
Celoxin インド
Digibind アメリカ, ニュージーランド
Digocard アルゼンチン, エクアドル
Digosin 日本
Digoxin アメリカ, アルゼンチン, イギリス, イラン, エクアドル, カナダ, スウェーデン, デンマーク, ハンガリー, フィンランド, ポーランド
Digoxina アルゼンチン, エクアドル, スペイン, ベネズエラ, メキシコ
Digoxine ギリシア, スイス, フランス
Geoxin インド
Lanibos サウジアラビア
Lanicor ドイツ
Lanoxin アイルランド, アメリカ, アラブ首長国連邦, イギリス, イタリア, イラン, エジプト, オランダ, サウジアラビア, チリ, ニュージーランド, ノルウェー, ベルギー, ポルトガル, マレーシア, ルクセンブルグ
Loxinan メキシコ
引用文献   注射薬   引用文献 : Digoxin  
形式 出版物
59 雑誌 Trissel LA, Gilbert DL, Martinez JF, Kim MC.
Compatibility of remifentanil hydrochloride with selected drugs during simulated Y-site administration.
Am J Health-Syst Pharm 1997 ; 54: 2192-2196.
62 雑誌 Pugh CB, Pabis DJ, Rodriguez C.
Visual compatibility of morphine sulfate and meperidine hydrochloride with other injectable drugs during simulated Y-site injection.
Am J Hosp Pharm 1991 ; 48: 123-125.
63 雑誌 Marquardt Ed, Lam SSY.
Visual compatibility of fentanyl citrate with selected drugs during simulated Y-site injection.
Am J Hosp Pharm 1994 ; 51: 811-812.
73 雑誌 Lor E, Takagi J.
Visual compatibility of foscarnet with other injectable drugs.
Am J Hosp Pharm 1990 ; 47: 157-159.
93 雑誌 Hutchings SR, Rusho WJ, Tyler LS.
Compatibility of cefmetazole sodium with commonly used drugs during Y-site delivery.
Am J Health-Syst Pharm 1996 ; 53: 2185-2188.
176 雑誌 Mantong ML, Marquardt ED.
Visual compatibility of midazolam hydrochloride with selected drugs during simulated Y-site injection.
Am J Health-Syst Pharm 1995 ; 52: 2567-2568.
191 雑誌 Riley CM.
Stability of milrinone and digoxin, furosemide, procainamide hydrochloride, propranolol hydrochloride, quinidine gluconate, or verapamil hydrochloride in 5% dextrose injection.
Am J Hosp Pharm 1988 ; 45: 2079-2091.
198 雑誌 Gayed AA, Kheshary PR, Hinkle RL.
Visual compatibility of diltiazem injection with various diluents and medications during simulated Y-site injection.
Am J Health-Syst Pharm 1995 ; 52: 516-520.
266 雑誌 Patel PR.
Compatibility of meropenem with commonly used injectable drugs.
Am J Health-Syst Pharm 1996 ; 53: 2853-2855.
288 雑誌 Cervenka P, Dejong DJ, Butler BL, Monzingo MD.
Visual compatibility of injectable ciprofloxacin lactate with selected injectable drugs during simulated Y-site administration.
Hosp Pharm 1992 ; 27: 957-958,961-962.
289 雑誌 Jim LK.
Physical and chemical compatibility of intravenous ciprofloxacin with other drugs.
Ann Pharmacotherapy 1993 ; 27: 704-707.
299 雑誌 Trissel LA, Martinez JF, Gilbert DL.
Compatibility of cisatracurium besylate with selected drugs during simulated Y-site administration.
Am J Health-Syst Pharm 1997 ; 54: 1735-1741.
300 雑誌 Trissel LA, Gilbert DL, Martinez JF.
Compatibility of propofol injectable emulsion with selected drugs during simulated Y-site administration.
Am J Health-Syst Pharm 1997 ; 54: 1287-1292.
301 雑誌 Trissel LA, Gilbert DL, Martinez JF, Baker MB, Walter WV, Mirtallo JM.
Compatibility of parenteral nutrient solutions with selected drugs during simulated Y-site administration.
Am J Health-Syst Pharm 1997 ; 54: 1295-1300.
397 雑誌 Fong PA, Ward J.
Visual compatibility of intravenous famotidine with selected drugs.
Am J Hosp Pharm 1989 ; 46: 125-126.
479 雑誌 Min DI, Brown T, HWang GC.
Visual compatibility of tacrolimus with commonly used drugs during simulated Y-site injection.
Am J Hosp Pharm 1992 ; 49: 2964-2966.
496 雑誌 Lor E, Sheybani T, Takagi J.
Visual compatibility of fluconazole with commonly used injectable drugs during simulated Y-site administration.
Am J Hosp Pharm 1991 ; 48: 744-746.
618 雑誌 Shank WA, Coupal JJ.
Stability of digoxin in common large-volume injections.
Am J Hosp Pharm 1982 ; 39: 844-846.
619 雑誌 Kirschenbaum HL, Aronoff W, Perentesis GP, Plitz GW, Cutie AJ.
Stability and compatibility of lidocaine hydrochloride with selected large-volume parenterals and drugs additives.
Am J Hosp Pharm 1982 ; 39: 1013-1015.
660 雑誌 Michaels MR, Stauffer GL, Haas DP.
Propofol compatibility with other intravenous drug products - Two new methods of evaluating IV emulsion compatibility.
Ann Pharmacotherapy 1996 ; 30: 228-232.
706 雑誌 Cutie MR.
Compatibility of verapamil hydrochloride with other additives.
Am J Hosp Pharm 1981 ; 38: 231.
730 雑誌 Allen LV, Saul Levinson R, Phisutsinthop D.
Compatibility of various admixtures with secondary additives at Y-injection site of intravenous administration sets.
Am J Hosp Pharm 1977 ; 34: 939-943.
921 雑誌 Trissel LA, Gilbert DL, Martinez JF.
Incompatibility and compatibility of amphotericin B cholesteryl sulfate complex with selected other drugs during simulated Y-site administration.
Hosp Pharm 1998 ; 33: 284-292.
1058 雑誌 Kirschenbaum HL, Aronoff W, Piltz GW, Perentesis GP, Cutie AJ.
Compatibility and stability of dobutamine hydrochloride with large-volume parenterals and selected additives.
Am J Hosp Pharm 1983 ; 40: 1690-1691.
1193 雑誌 Perentesis GP, Plitz GW, Kirschenbaum HL, Navalakha P, Aronoff W, Cutie AJ.
Stability and visual compatibility of bretylium tosylate with selected large-volume parenterals and additives.
Am J Hosp Pharm 1983 ; 40: 1010-1012.
1201 雑誌 Yuhas EM, Lofton FT, Rosenberg HA, Mayron D, Baldinus JG.
Cimetidine hydrochloride compatibility III: Room temperature stability in drug admixtures.
Am J Hosp Pharm 1981 ; 38: 1919-1922.
1232 雑誌 Beatson C, Taylor A.
A physical compatibility study of furosemide & flucloxacillin injections.
Br J Pharm Pract 1987 ; 9: 223-226, 236.
1269 雑誌 DeMuynck C, De Vroe C, Remon JP, Colardyn F.
Binding of drugs to end-line filters: a study of four commonly administered drugs in intensive care units.
J Clin Pharm Ther 1988 ; 13: 335-340.
1338 雑誌 Baptista RJ, Dumas GJ, Bistrian BR, Condella F, Blackburn GL.
Compatibility of total nutrient admixtures and secondary cardiovascular medications.
Am J Hosp Pharm 1985 ; 42: 777-778.
1415 雑誌 Trissel L.A, Gilbert D.L, Martinez J.F, Baker M.B, Walter W.V, Mirtallo J.M.
Compatibility of medications with 3-in-1 parenteral nutrition admixtures.
JPEN 1999 ; 23: 67-74.
1611 雑誌 Chalmers JR, Bobek MB, Militello MA.
Visual compatibility of amiodarone hydrochloride injection with various intravenous drugs.
Am J Health-Syst Pharm 2001 ; 58: 504-506.
1625 雑誌 Trissel LA, Saenz C, Williams YW, Ingram D.
Incompatibilities of lansoprazole injection with other drugs during simulated Y-site coadministration.
Int J Pharm Compound 2001 ; 5: 314-321.
1712 雑誌 Trissel LA, Saenz CA.
Compatibility screening of Precedex during simulated Y-site administration with other drugs.
Int J Pharm Compound 2002 ; 6: 230-233.
1713 雑誌 Trissel LA, Saenz CA.
Compatibility screening of bivalirudin during simulated Y-site administration with other drugs.
Int J Pharm Compound 2002 ; 6: 311-315.
1721 雑誌 Trissel LA, Williams KY, Baker MB.
Compatibility screening of Hextend during simulated Y-site administration with other drugs.
Int J Pharm Compound 2001 ; 5: 69-72.
1803 雑誌 Trissel, LA, Saenz CA, Ogundele OB, Ingram D, Baker MB.
Compatibility of fenoldopam mesylate with other drugs during simulated Y-site administration.
Am J Health-Syst Pharm 2003 ; 60: 80-85.
1925 雑誌 Trissel LA , Williams KY, Gilbert DL.
Compatibility screening of linezolid injection during simulated Y-site administration with other drugs and infusion solutions.
J Am Pharm Assoc 2000 ; 40: 515-519.
1982 雑誌 Trissel LA, Ogundele AB.
Compatibility of anidulafungin with other drugs during simulated Y-site administration.
Am J Health-Syst Pharm 2005 ; 62: 834-837.
2087 雑誌 Ferreira E, Forest JM, Hildgen P.
Compatibility of dimenhydrinate injectable by Y administration.
Pharmactuel 2004 ; 37: 17-20.
2090 雑誌 Pere H, Chasse V, Forest JM, Hildgen P.
Compatibility of injectable pantoprazole in Y-site administration.
Pharmactuel 2004 ; 37: 193-196.
2109 雑誌 Pelletier E, Forest JM, Hildgen P.
Compatibilité de la kétamine injectable lors de l’administration en dérivé avec d’autres médicaments usuels.
Pharmactuel 2006 ; 39: 71-75.
2262 雑誌 Brammer MK, Chan P, Heatherly K, Trusley C, Kupiec TC, Trissel LA, Psathas PA, Gilmor T, Schaufelberger D.
Compatibility of doripenem with other drugs during simulated Y-site administratioN
Am J Health-Syst Pharm 2008 ; 65: 1261-1265.
2269 雑誌 Chan P, Bishop A, Kupiec TC, Trissel LA, Gole D, Jimidar IM, Vermeersch H.
Compatibility of ceftobiprole medocaril with selected drugs during simulated Y-site administration.
Am J Health-Syst Pharm 2008 ; 65, 16: 1545-1551.
3012 雑誌 Sullivan T, Forrest J.M, Leclair G.
Compatibility of Cloxacillin Sodium with Selected Intravenous Drugs During Simulated Y-Site Administration
Hosp Pharm 2015 ; 50, 3: 214-220.
3249 雑誌 Singh BM, Dedhiya MG, Dinunzio J, Chan P, Kupiec TC, Trissel LA, Laudano JB.
Compatibility of ceftaroline fosamil for injection with selected drugs during simulated Y-site administration.
Am J Health-Syst Pharm 2011 ; 68: 2163-2169.
3254 雑誌 Housman S.T, Tessier P.R, Nicolau D.P, Kuti J.L.
Physical compatibility of telavancin hydrochloride with select i.v. drugs during simulated Y-site administration
Am J Health-Syst Pharm 2011 ; 68: 2265-2270.
3408 雑誌 Tollec S, Touzin K, Pelletier E, Forest J.M.
Evaluation visuelle de la compatibilité physique de la naloxone avec d’autres médicaments intraveineux usuels.
Pharmactuel 2013 ; 46, 1 : 16-21.
3766 雑誌 Forrest J.M, Hildgen P.
Compatibilité de l’acétylcystéine injectable lors de son administration en Y avec d’autres médicaments usuels
Pharmactuel 2014 ; 47, 3 : 161-165.
3824 雑誌 Boudi S, Roy H, Forest JM, Leclair G.
Compatibilité physique de l'association amoxicilline-acide clavulanique en injection avec plusieurs autres médicaments lors d'une administration en Y.
Pharmactuel 2023 2023;56,3:91-98
3827 ポスター Ghazi I.M, Hamada Y, Nicolau D.P.
Compatibility of tedizolid phosphate with selected intravenous drugs via simulated Y-site conditions.
ASHP Midyear 2015
3828 ポスター Thabit A.K, Hamada Y, Nicolau D.P.
Ceftozolane/tazobactam physical compatibility during simulated Y-site administration.
ASHP Midyear 2015
3829 ポスター So W, Kim L, Thabit A.K, Nicolau D.P, Kuti J.L.
Compatibility of isavunazonium sulfate during simulated Y-site administration.
ASHP Midyear 2015
3964 雑誌 Audet M.A, Forest E, Friciu M, Forest J.M, Leclair G.
Compatibilité du citrate de caféine injectable avec plusieurs autres médicaments.
Pharmactuel 2017 ; 50,1 : 27-33.
4055 雑誌 Monogue M, Almarzoky Abuhussain S, Kuti J, Nicolau D.
Physical compatibility of fosfomycin for injection with select i.v. drugs during simulated Y-site administration.
Am J Health-Syst Pharm 2018 , 75, 1:36-44
4145 雑誌 Asempa T.E, Avery L.M, Kidd J.M, Kuti J.L, Nicolau D.P.
Physical compatibility of plazomicin with select i.v. drugs during simulated Y-site administration.
Am J Health-Syst Pharm 2018 ;75,14:1048-1056
4319 雑誌 Lessard J-J, Caron E, Schérer H, Forest J-M, Leclair G.
Compatibility of Y-site Injection of Meropenem Trihydrate With 101 Other Injectable Drugs.
Hosp Pharm 2020 ; 55, 5: 332-337.
4433 雑誌 Ghazi I.M, El Nekidy W.S, Sood A, Dulku A, Patel R, Patel K.
Y-site Administration of Imipenem/Cilastatin/ Relebactam With Common Intravenous Medications
Clin Ther 2020 ; 42, 3: 475-485.
4528 雑誌 Lu J, Liu Q, Kupiec T, Vail H, Lunch L, Fam D, Vu N.
Physical Compatibility of Cefiderocol with Selected Intravenous Drugs During Simulated Y-site Administration.
Int J Pharm Compound 2021 ;25,1:52-61
4571 実験 Levosimendan (Simdax 2.5 mg/ml) - Summary of Product Characteristics
Orion Pharma 2010
4603 雑誌 Vallée M, Barthélémy I, Friciu M, Pelletier E, Forest J.M, Benoit F, Leclair G.
Compatibility of Lactated Ringer’s Injection With 94 Selected Intravenous Drugs During Simulated Y-site Administration.
Hosp Pharm 2021 ; 56, 4: 228-234.
4690 雑誌 Friciu M, Marcelin R.B, Bédard P, Forest J.M, Leclair G.
Stability of Compounded Digoxin Solution 0.05mg/mL for Injection.
Hosp Pharm 2022 ; 57, 2: 294-299.
4801 雑誌 Ruiz V, Yuwei Shen Y, Abouelhassan Y, Fouad A, Nicolau D, Kuti J.
Physical compatibility of sulbactam/durlobactam with select intravenous drugs during simulated Y-site administration.
Am J Health-Syst Pharm 2024 ;51,1:

  Mentions Légales