Cập nhật lần cuối :
27/11/2025
Kháng sinh   Minocycline hydrochloride  
Dạng tiêm
Dung dịch uống
Tính ổn định của các dung dịch Độ ổn định khi trộn lẫn Những yếu tố ảnh hưởng đến độ ổn định Khả năng tương thích Đường dùng Tài liệu tham khảo Pdf
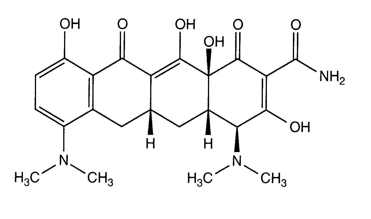
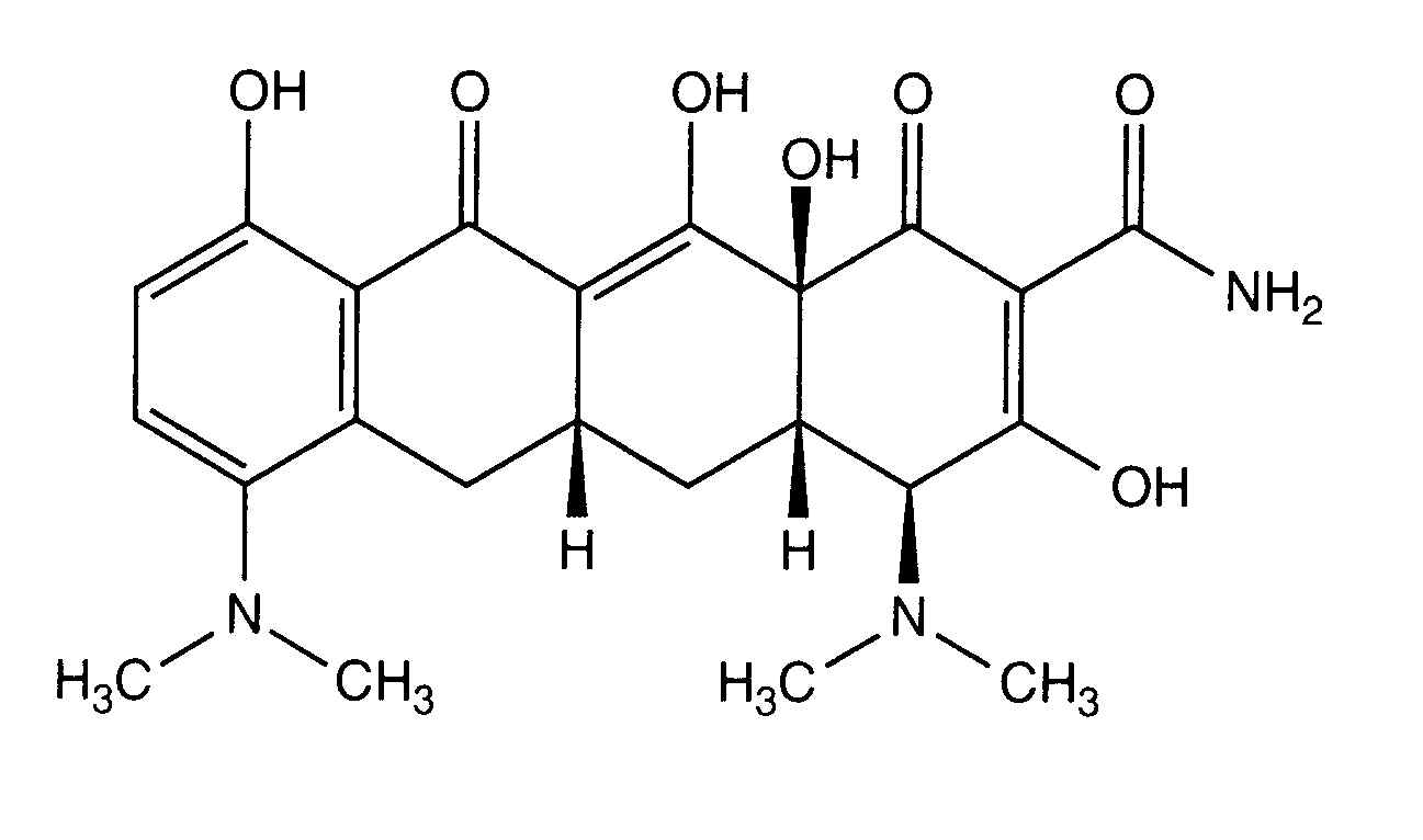
   Cấu trúc hóa học  

Tên thương mại   Tên thương mại     

Các tên thương mại được cung cấp và thành phần tá dược có thể khác nhau giữa các quốc gia và các hãng dược

Minocin Hoa Kỳ
Đường dùng   Đường dùng :Minocycline hydrochloride     
Đường dùng
Truyền tĩnh mạch
Tiêm bắp

  Mentions Légales