Poslední aktualizace :
18/03/2026
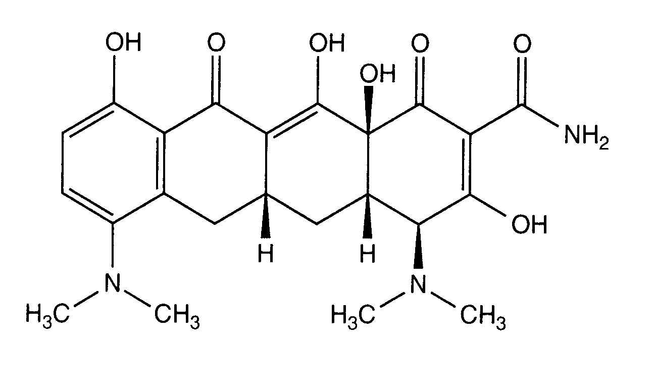
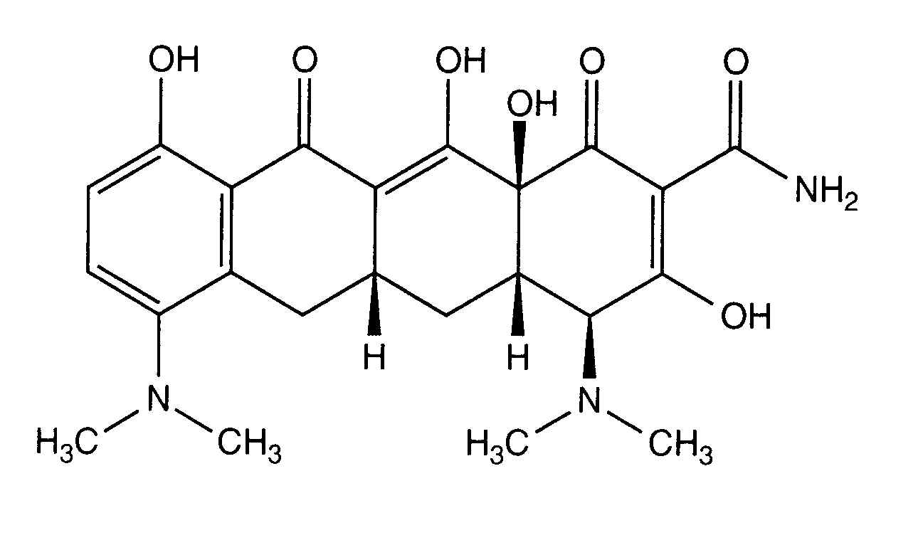
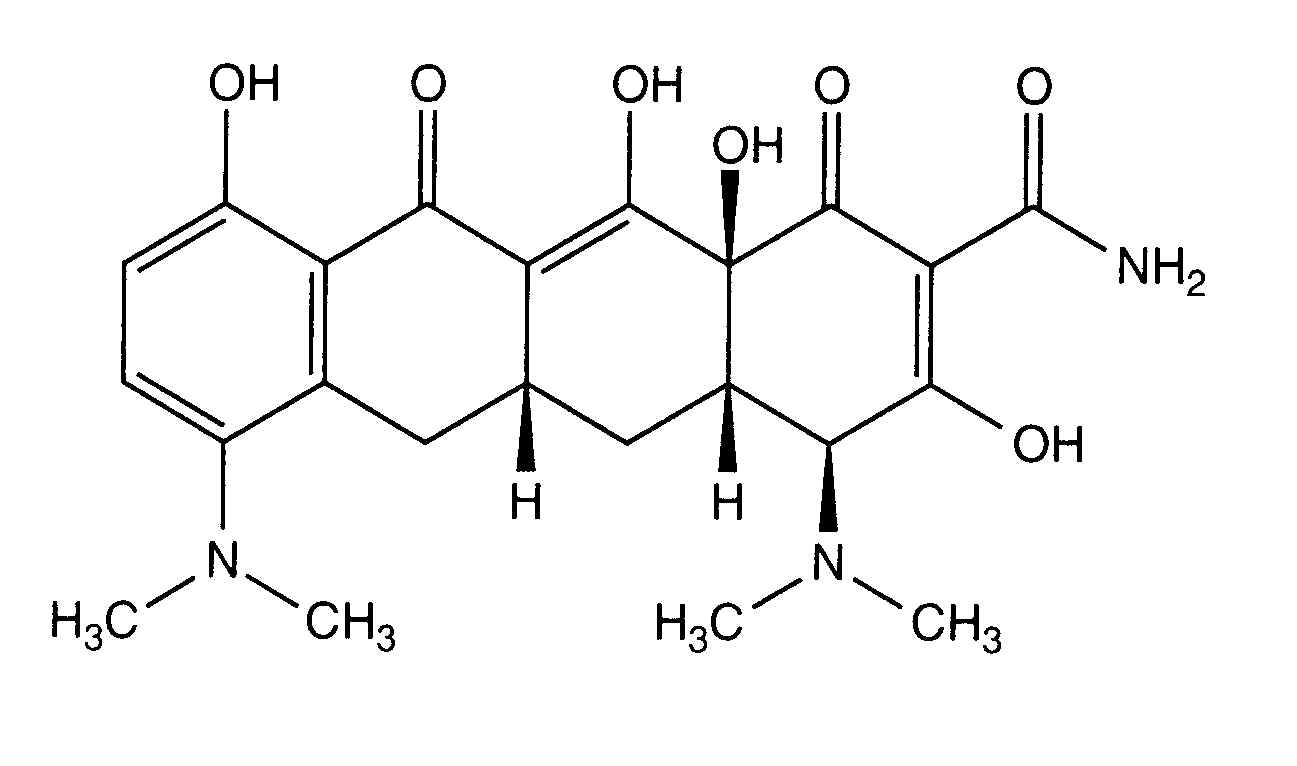
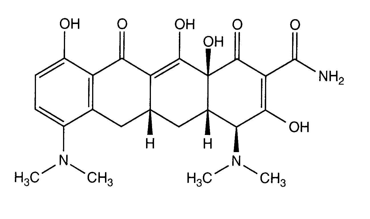
Antibiotikum   Minocycline hydrochloride  
injekce
Perorální roztok
Stabilita roztoků Stabilita směsí Faktory ovlivňující stabilitu Kompatibilita Způsoby aplikace Odkazy pdf
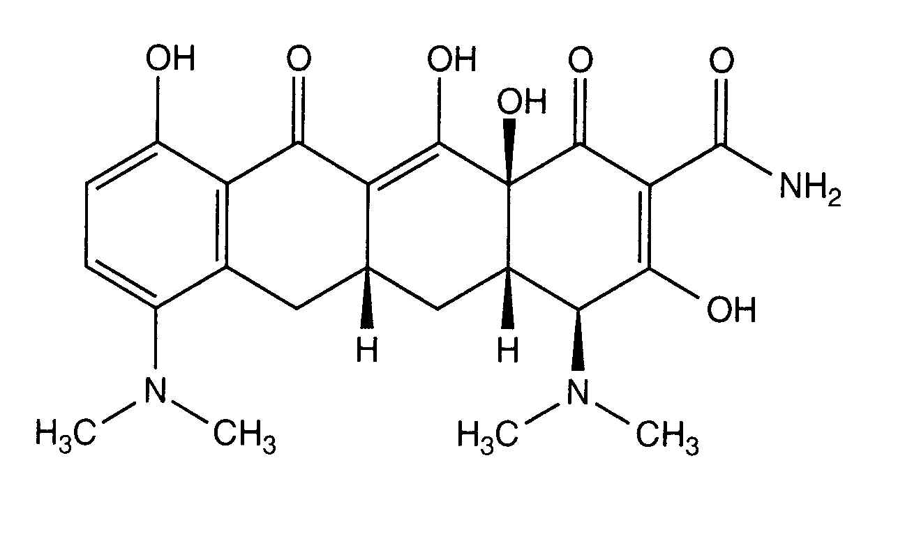
   Chemický vzorec  

Obchodní název   Obchodní název     

Trade names are indicative and excipients composition can be different depending on the country and manufacturers

Minocin USA
Způsoby aplikace   Způsoby aplikace :Minocycline hydrochloride     
Voie
Intravenózní infúze
intramuskulárně

  Mentions Légales