Pēdējā atjaunošana :
18/03/2026
Antibiotika   Minocycline hydrochloride  
Injekcija
Orāls šķīdums
Šķīduma stabilitāte Maisījuma stabilitāte Stabilitāti ietekmējoši faktori Saderība Levadīšanas veids Literatūras saraksts pdf
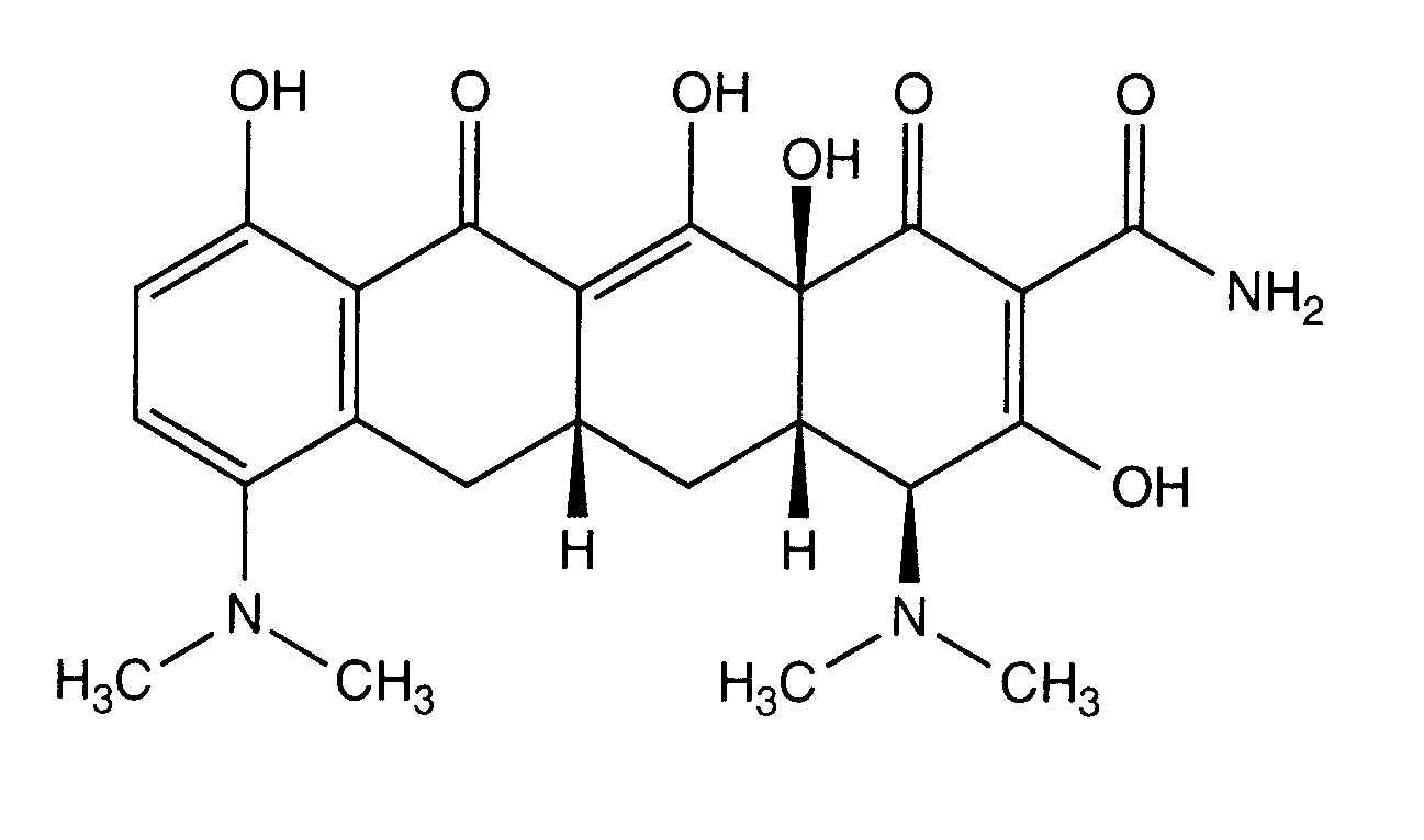
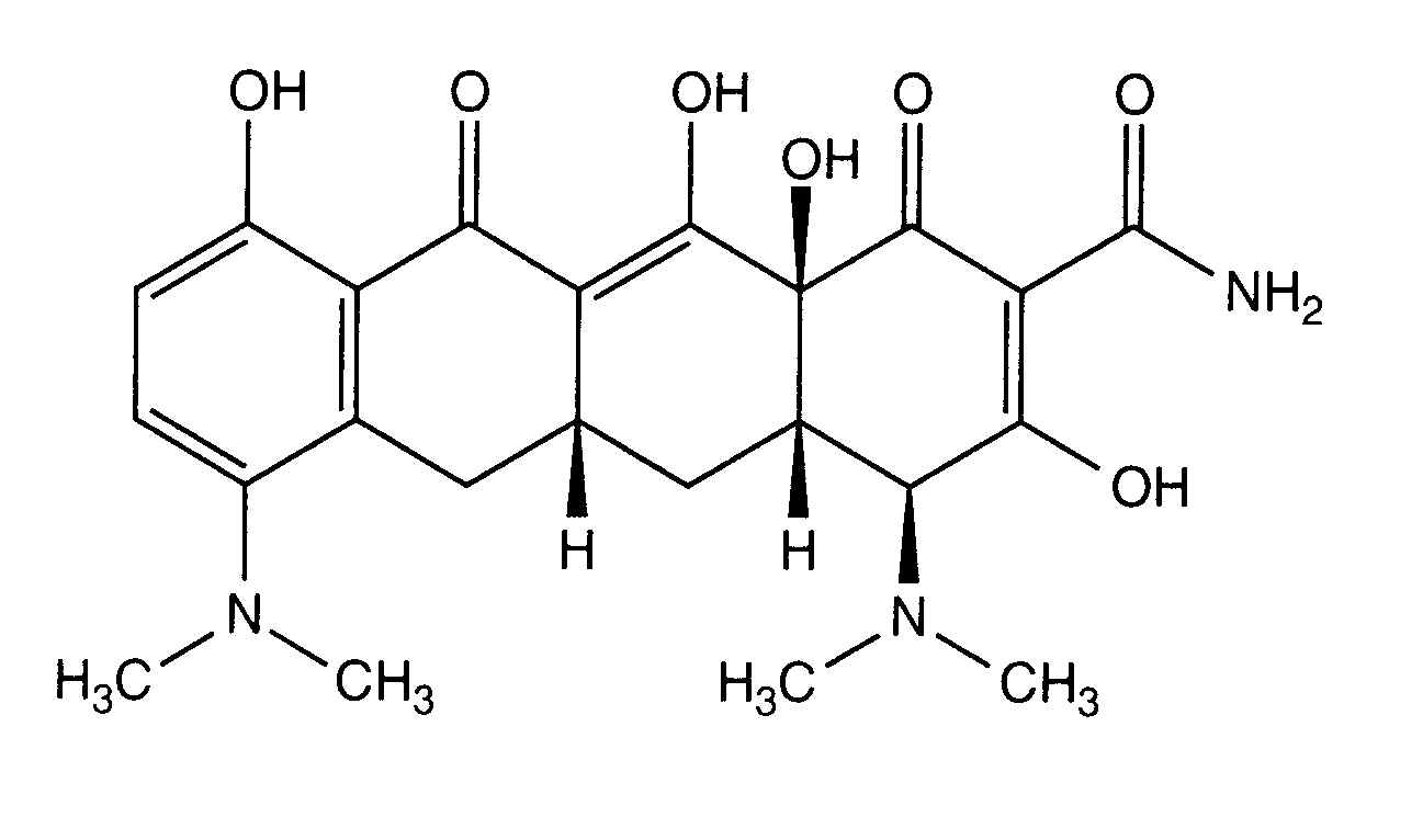
   Ķīmiskā uzbūve   

Oriģinālais nosaukums   Oriģinālais nosaukums     

Tirdzniecības nosaukumi ir apzīmējoši un palīgvielas var atšķirties dažādām valstīm un laboratorijām

Minocin Amerikas Savienotās Valstis
Levadīšanas veids   Levadīšanas veids :Minocycline hydrochloride     
Voie
Intravenoza infūzija
Intramuskulāri

  Mentions Légales