Última actualização :
27/11/2025
antibiótico   Minocycline hydrochloride  
injetável
Solução Oral
Estabilidade em soluções simples Estabilidade em misturas Factores que afectam a sua estabilidade Compatibilidade Método de administração Bibliografía pdf
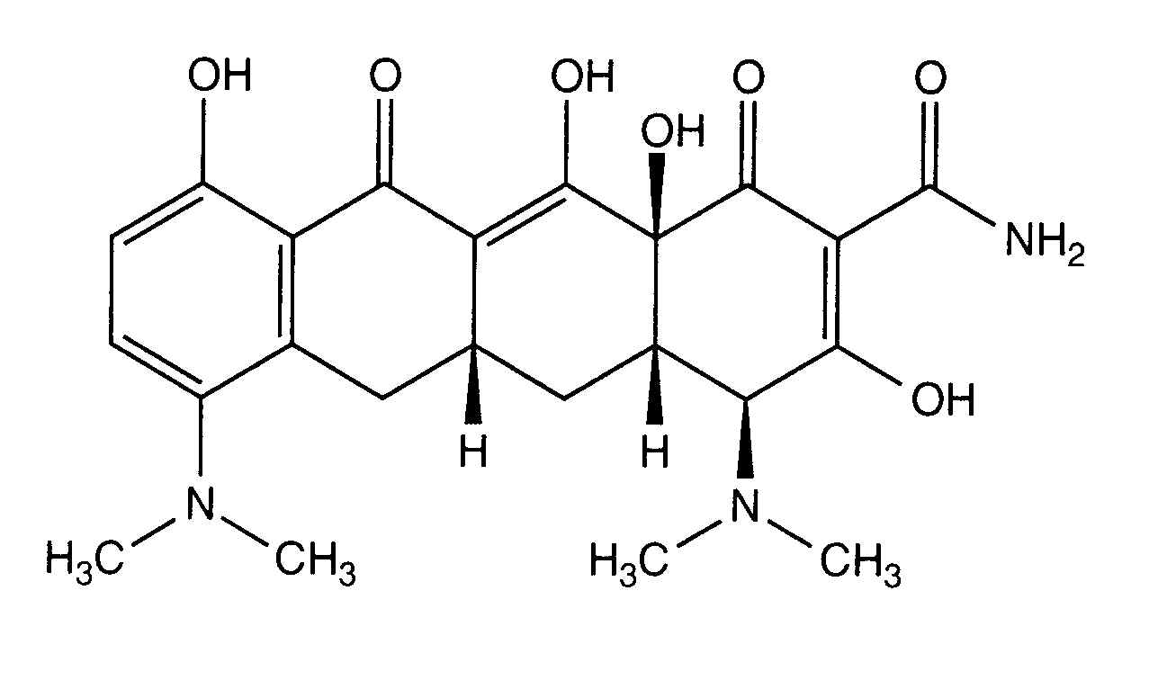
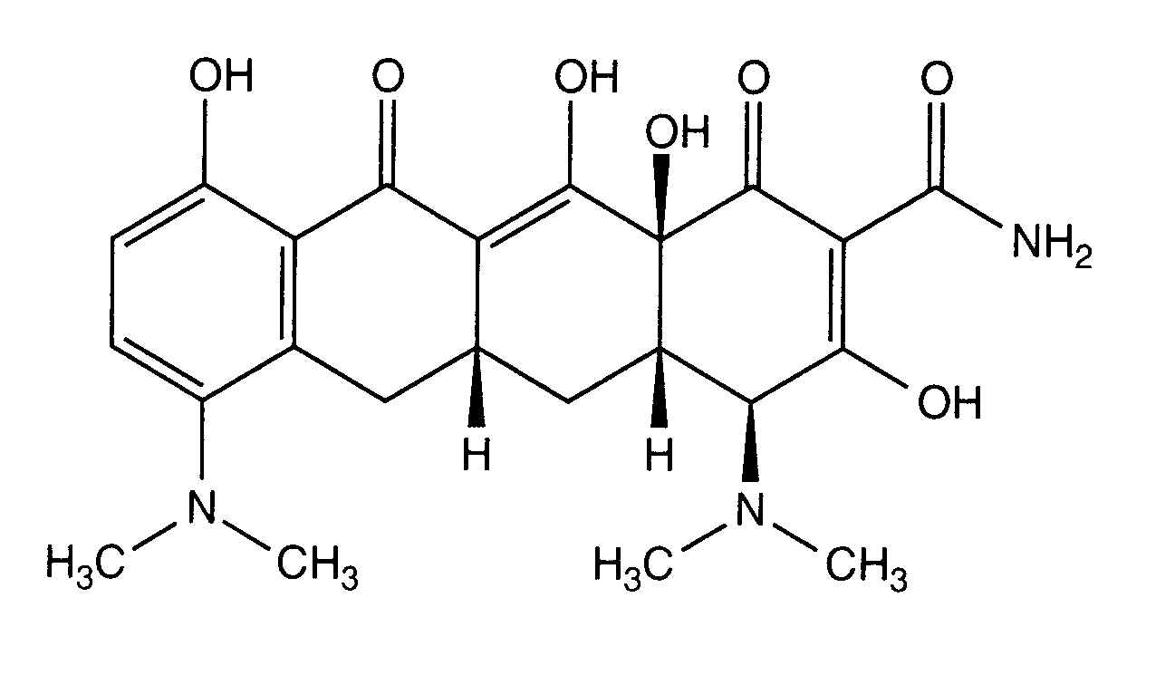
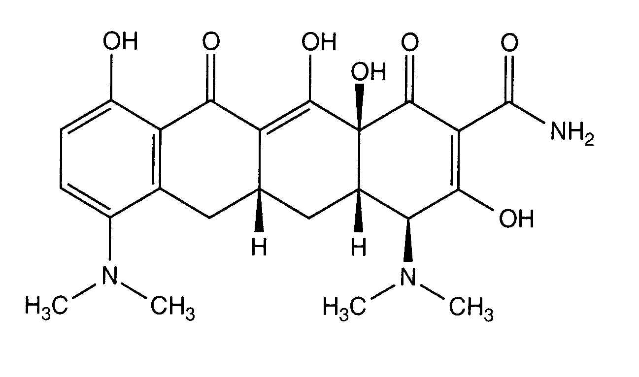
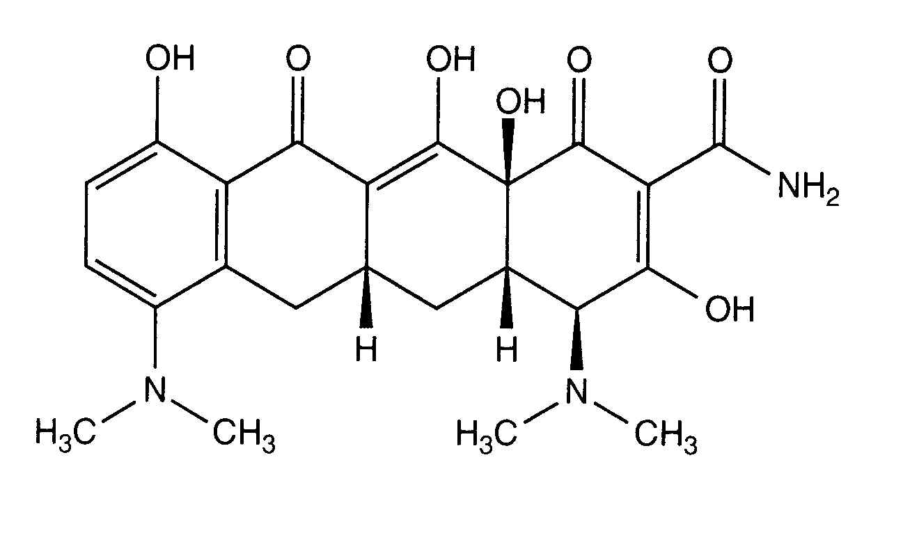
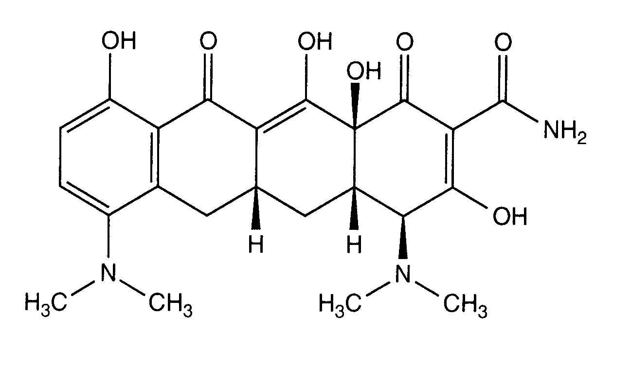
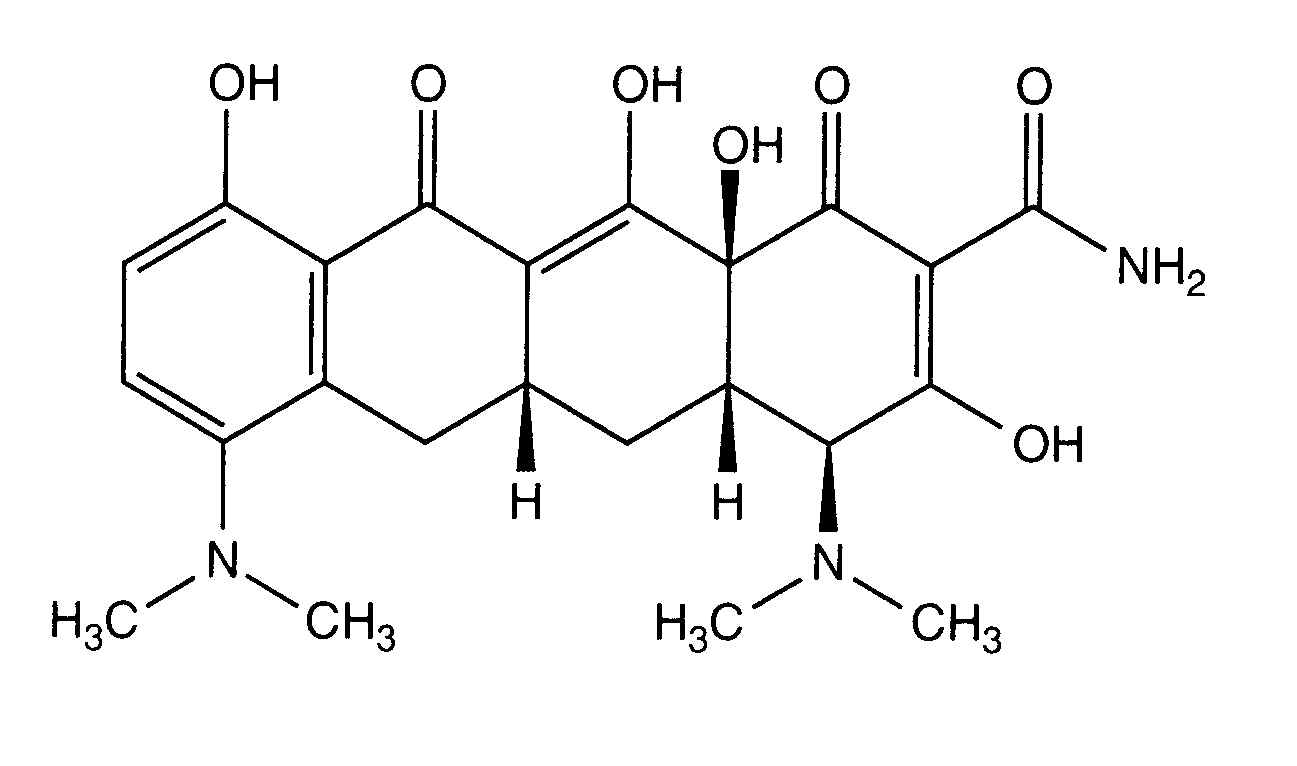
   estrutura química  

Nomes comerciais nos diversos países   Nomes comerciais nos diversos países     

OS NOMES COMERCIAIS SÃO INDICATIVOS E OS EXCIPIENTES DA FORMULAÇÃO PODEM SER DIFERENTES CONFORME O PAÍS E FABRICANTE.

Minocin Estados Unidos de América
Método de administração   Método de administração :Minocycline hydrochloride     
Voie
perfusão intravenosa
intramuscular

  Mentions Légales