Senaste uppdateringen :
18/03/2026
Antibiotikum   Minocycline hydrochloride  
injektion
Oral lösning
Lösningars stabilitet Stabilitet i blandningar Faktorer som påverkar stabiliteten Kompatibilitet Administreringssätt Hänvisningar pdf
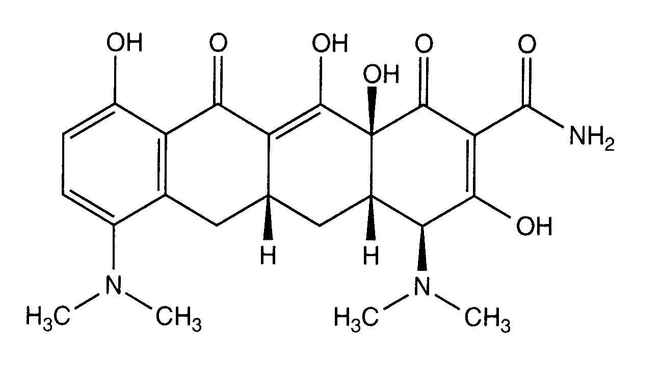
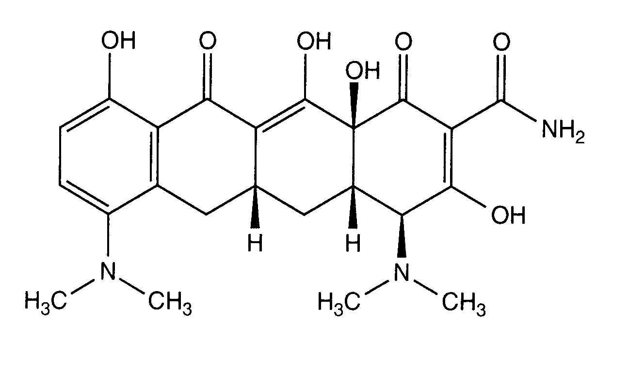
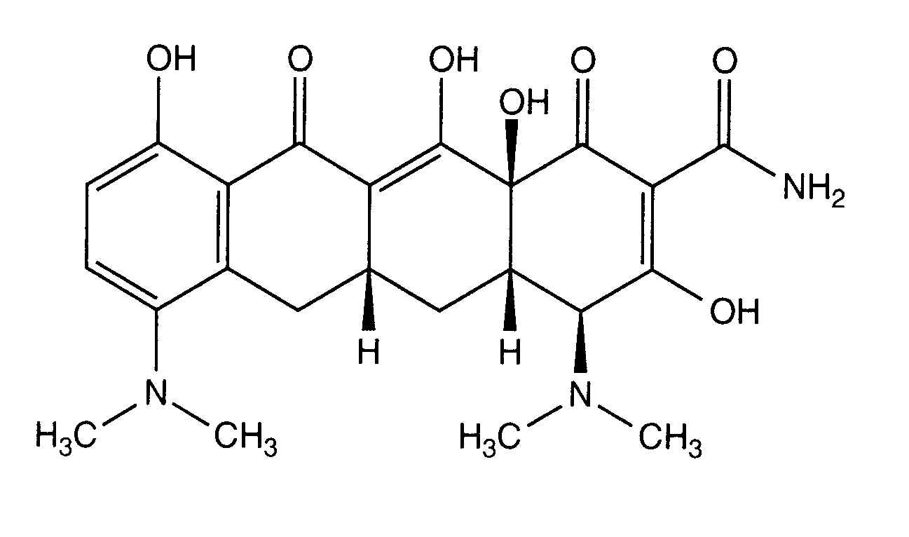
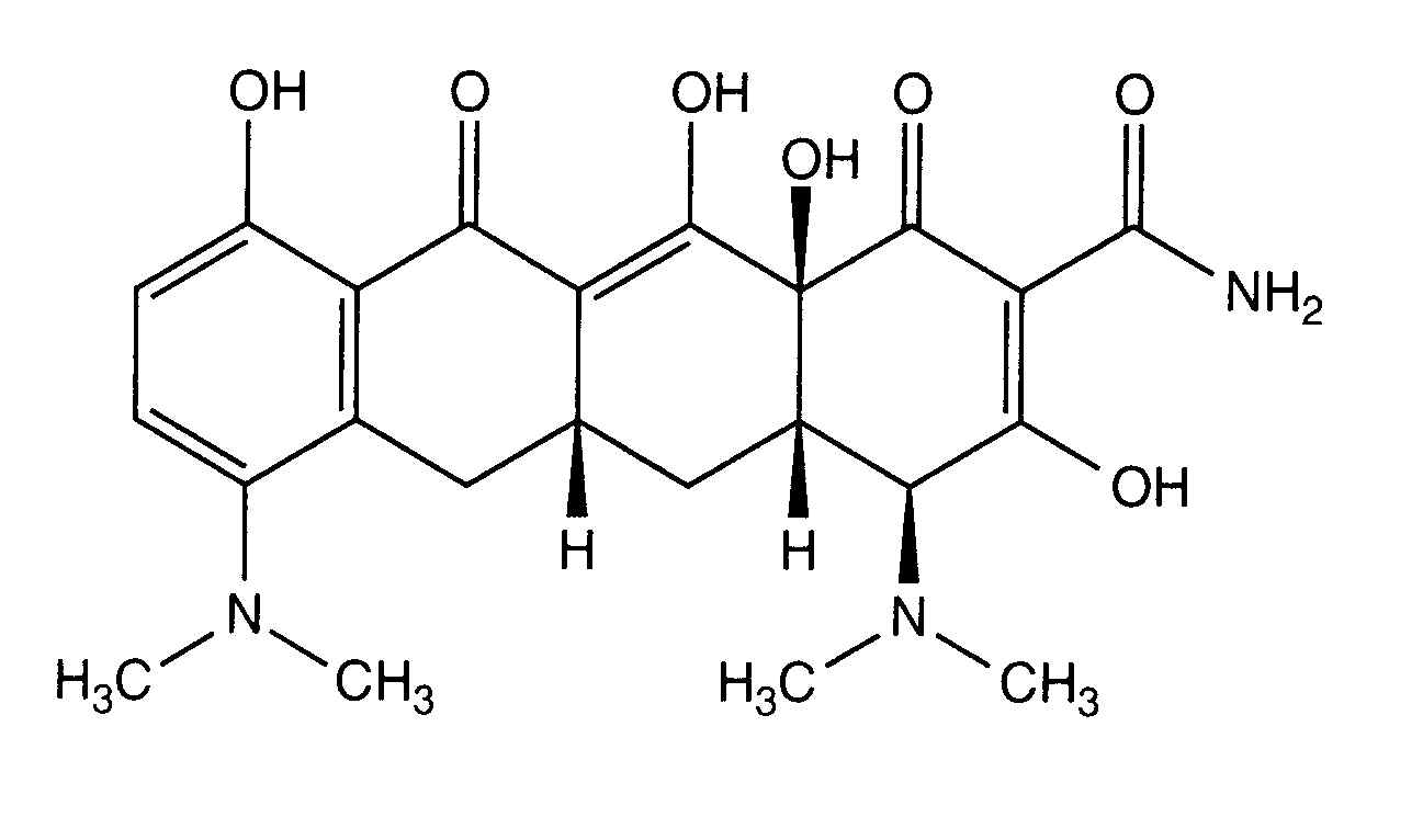
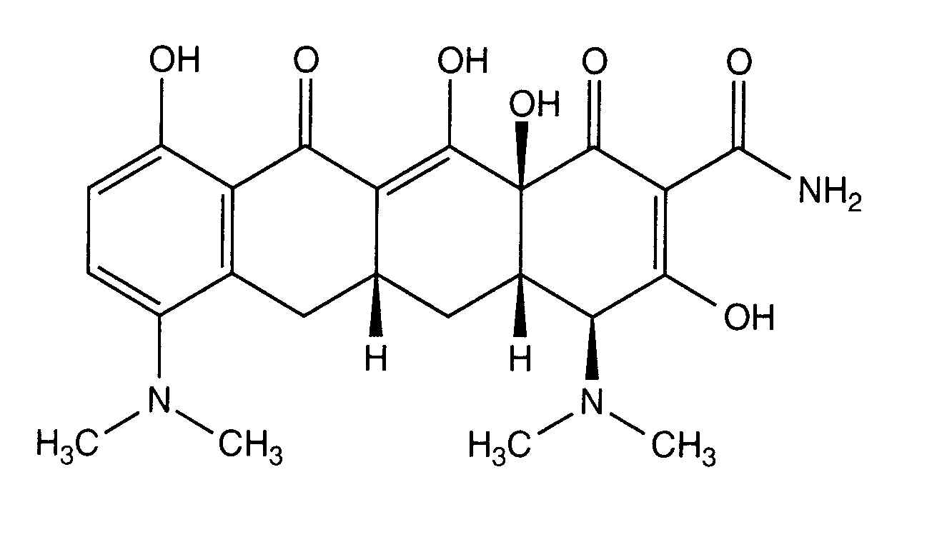
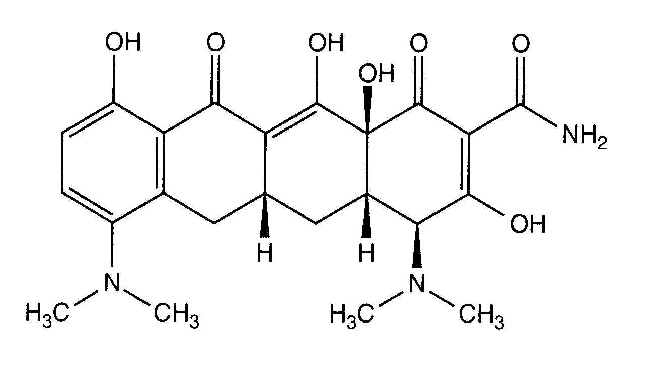
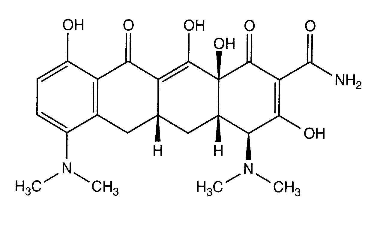
   Molekylstruktur  

Varunamn   Varunamn     

Angivna handelsnamn på läkemedel är enbart vägledande då formulering inklusive hjälpämnen kan variera mellan länder och tillverkare

Minocin Förenta Staterna
Administreringssätt   Administreringssätt :Minocycline hydrochloride     
Voie
Intravenös infusion
Intramuskulär

  Mentions Légales