Ostatnia aktualizacja :
18/03/2026
Antybiotyk   Minocycline hydrochloride  
Injekcje
Roztwór doustny
Trwałość roztworów Trwałość w mieszaninie Czynnik wpływający na trwałość Zgodność Sposób podania Bibliografia pdf
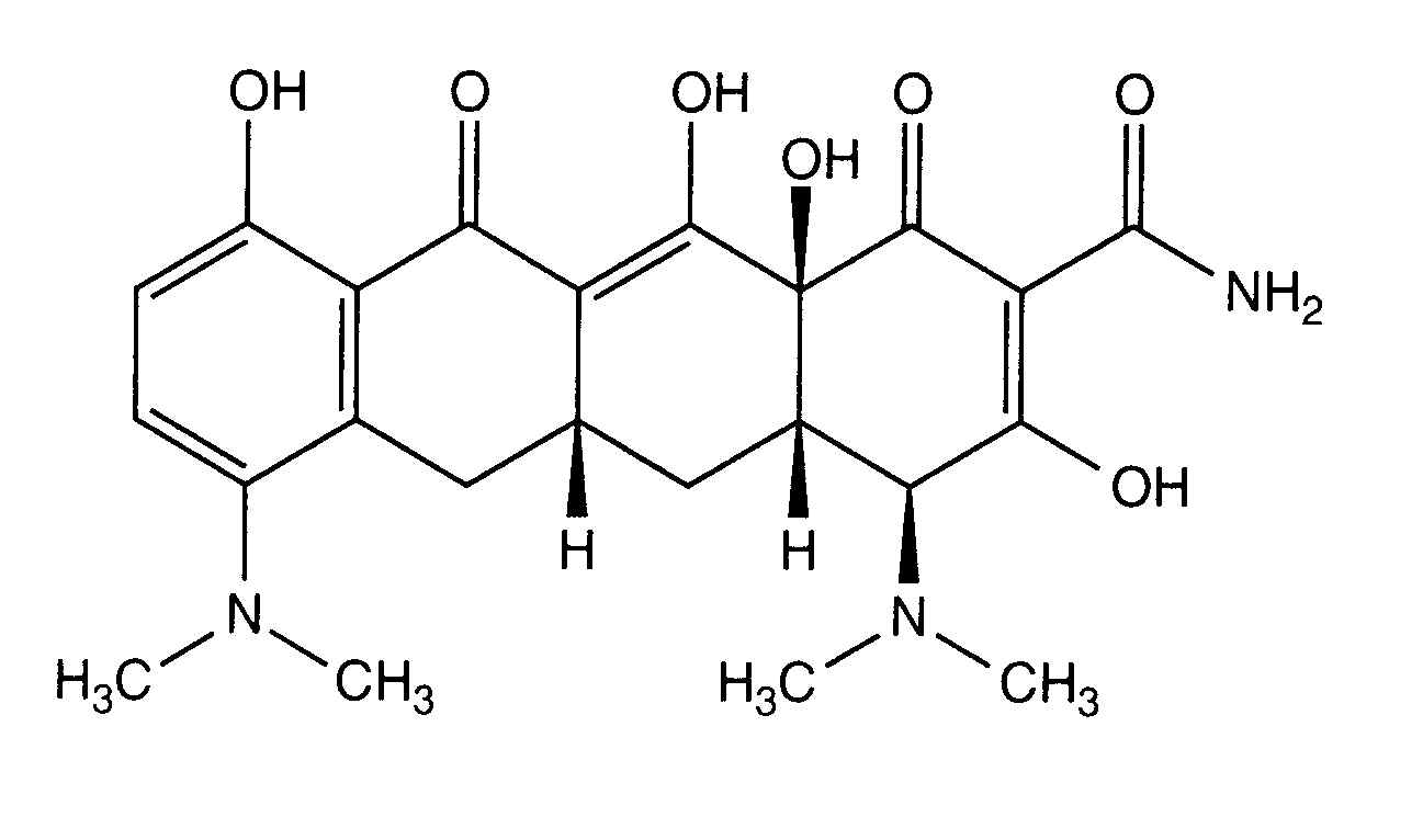
   Struktura chemiczna  

Nazwa handlowa   Nazwa handlowa     

Trade names are indicative and excipients composition can be different depending on the country and manufacturers

Minocin Stany Zjednoczone Ameryki
Sposób podania   Sposób podania :Minocycline hydrochloride     
Voie
Wlew dożylny
Podanie domięśniowe

  Mentions Légales