Siste oppdatering :
27/11/2025
Antibiotika   Minocycline hydrochloride  
Injeksjon
Mikstur
Oppløsningsstabilitet Stabilitet i blandinger Faktorer som påvirker stabiliteten Kompatibilitet Administrasjonsmåte Referanser pdf
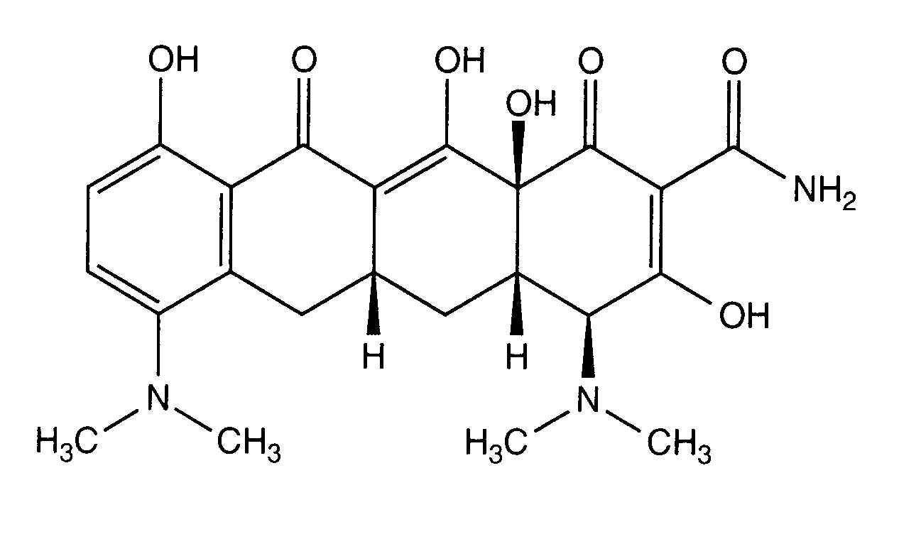
   Kjemisk struktur  

Handelsnavn   Handelsnavn     

Handelsnavn er veiledende og sammensetning av hjelpestoffer kan være forskjellig avhengig av land og produsent

Minocin USA
Administrasjonsmåte   Administrasjonsmåte :Minocycline hydrochloride     
Voie
Intravenøs infusjon
Intramuskulær

  Mentions Légales