Seneste opdatering :
27/11/2025
Antibiotisk   Minocycline hydrochloride  
Injektion
Oral opløsning
Stabilitet i (vandige) opløsninger Stabilitet i blandinger Faktorer der påvirker stabiliteten Kompatibilitet Administrationsvej Bibliografi pdf
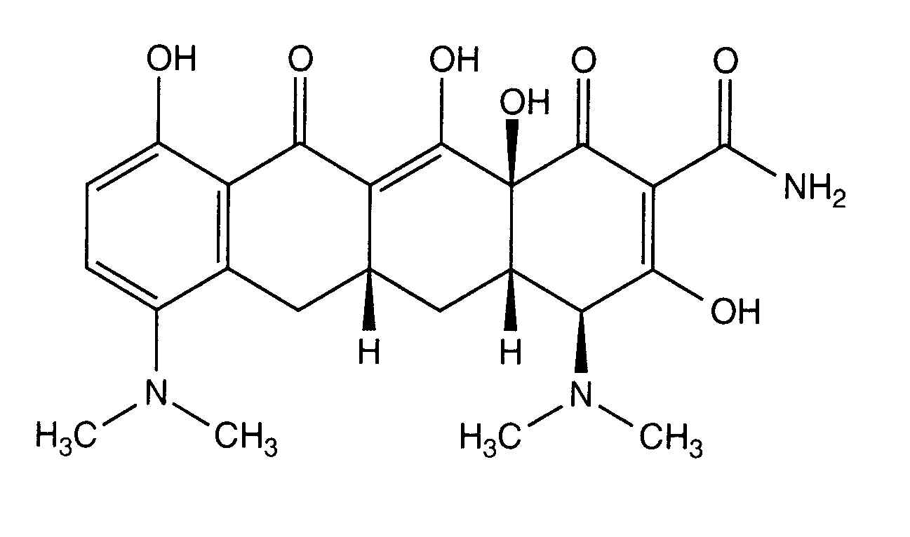
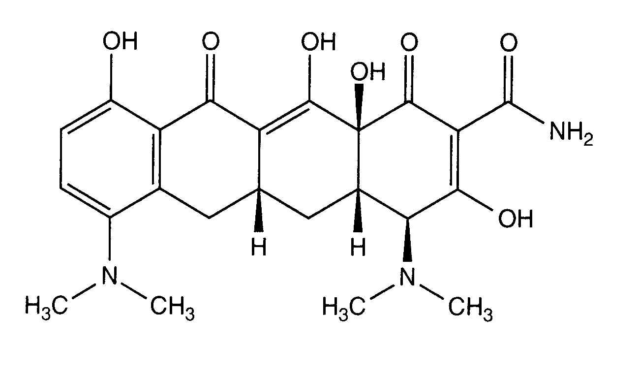
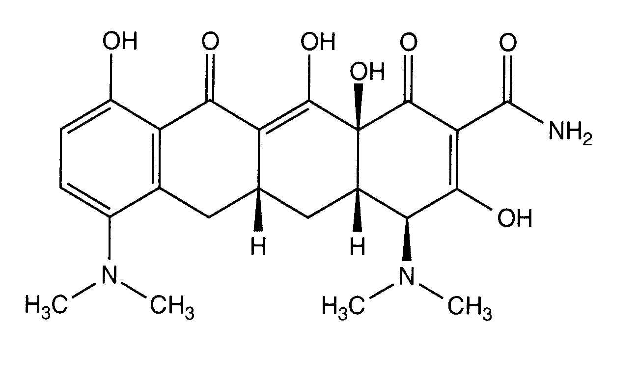
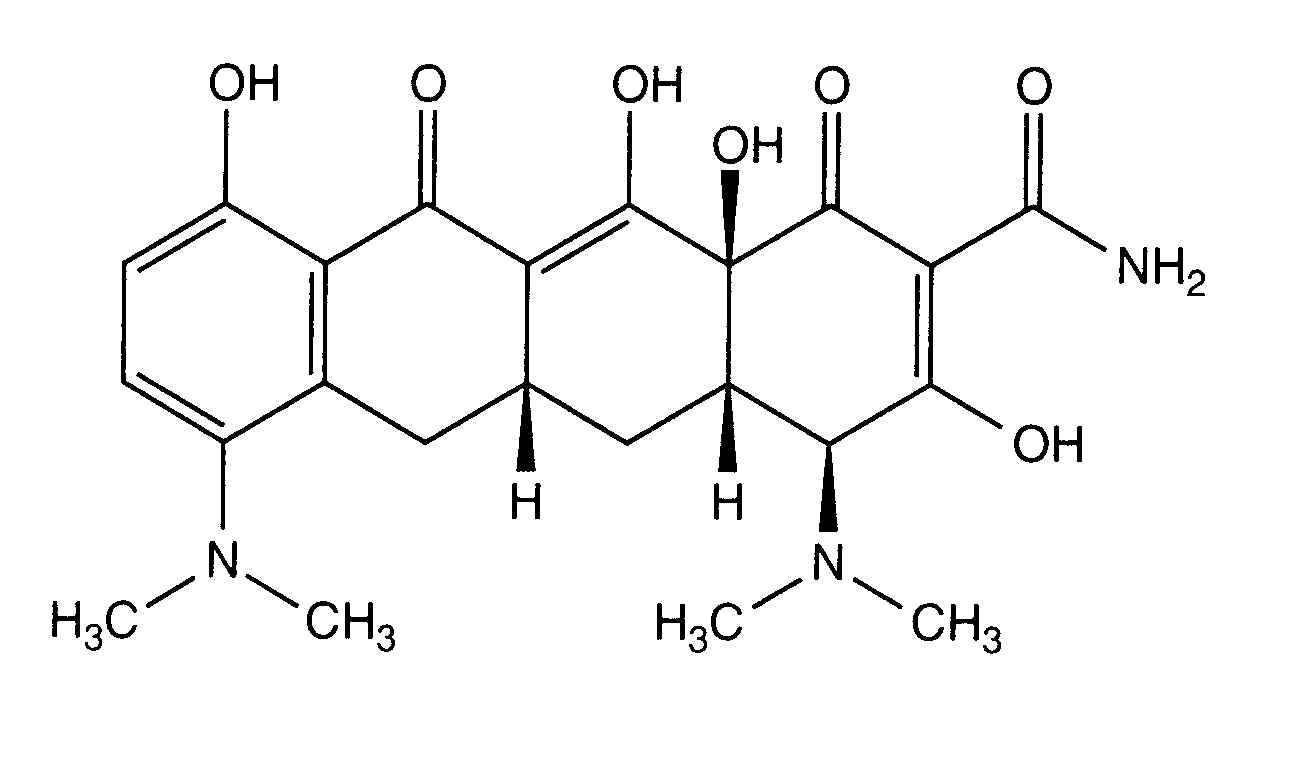
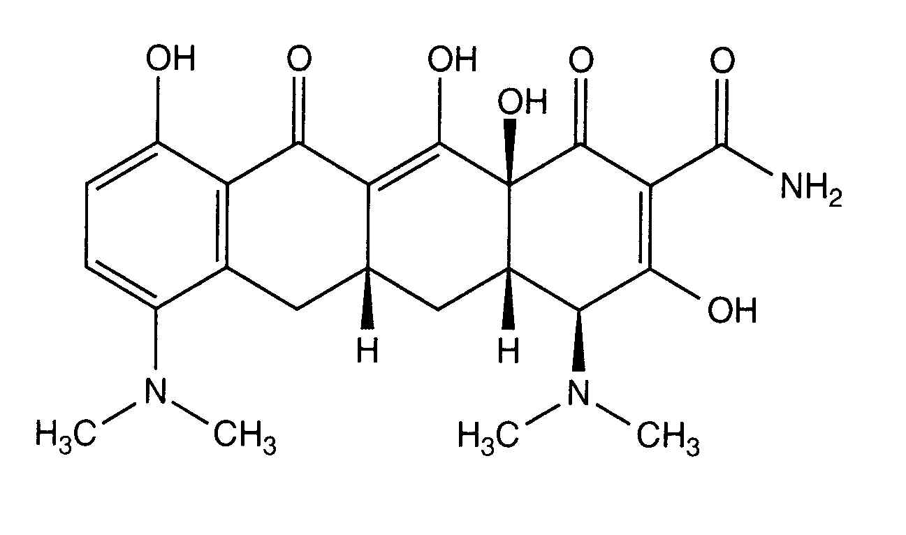
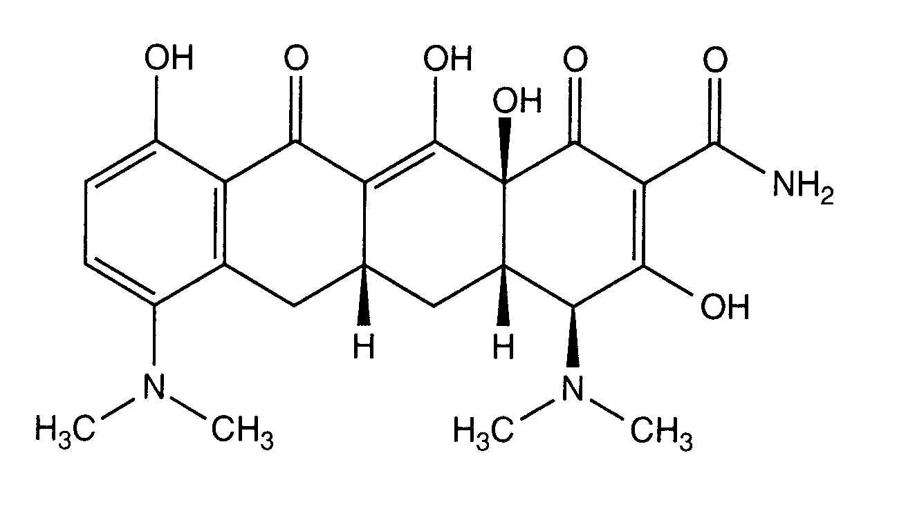
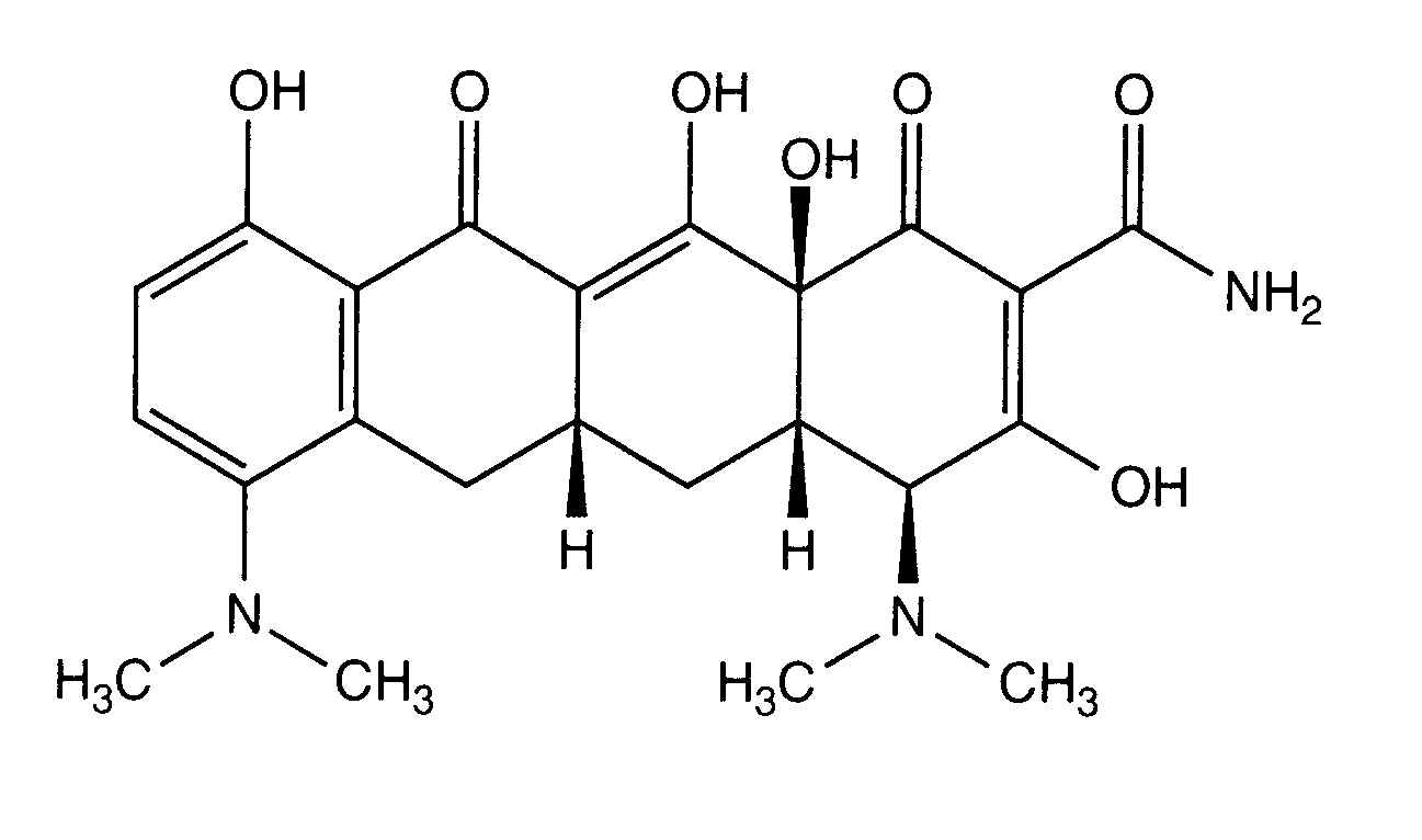
   Kemisk struktur  

Handelsnavn   Handelsnavn     

Handel navne er vejledende og hjælpestoffer sammensætning kan være forskellig afhængigt af landet og laboratorier

Minocin USA
Administrationsvej   Administrationsvej :Minocycline hydrochloride     
Voie
Intravenøs infusion
Intramuskulær

  Mentions Légales