Zadnji put ažurirano :
27/11/2025
antibiotik   Minocycline hydrochloride  
injekcija
oralna otopina
Stabilizacija rješenja Stabilnost mješavine Stabilizacijski faktor Kompatibilnosti način davanja lijeka Bibliografija pdf
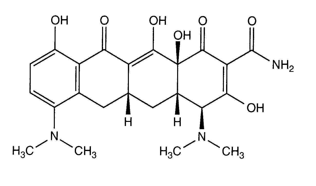
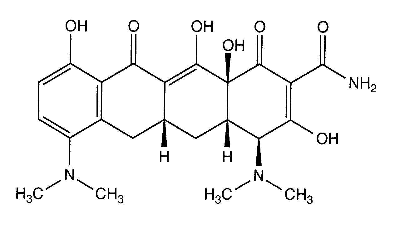
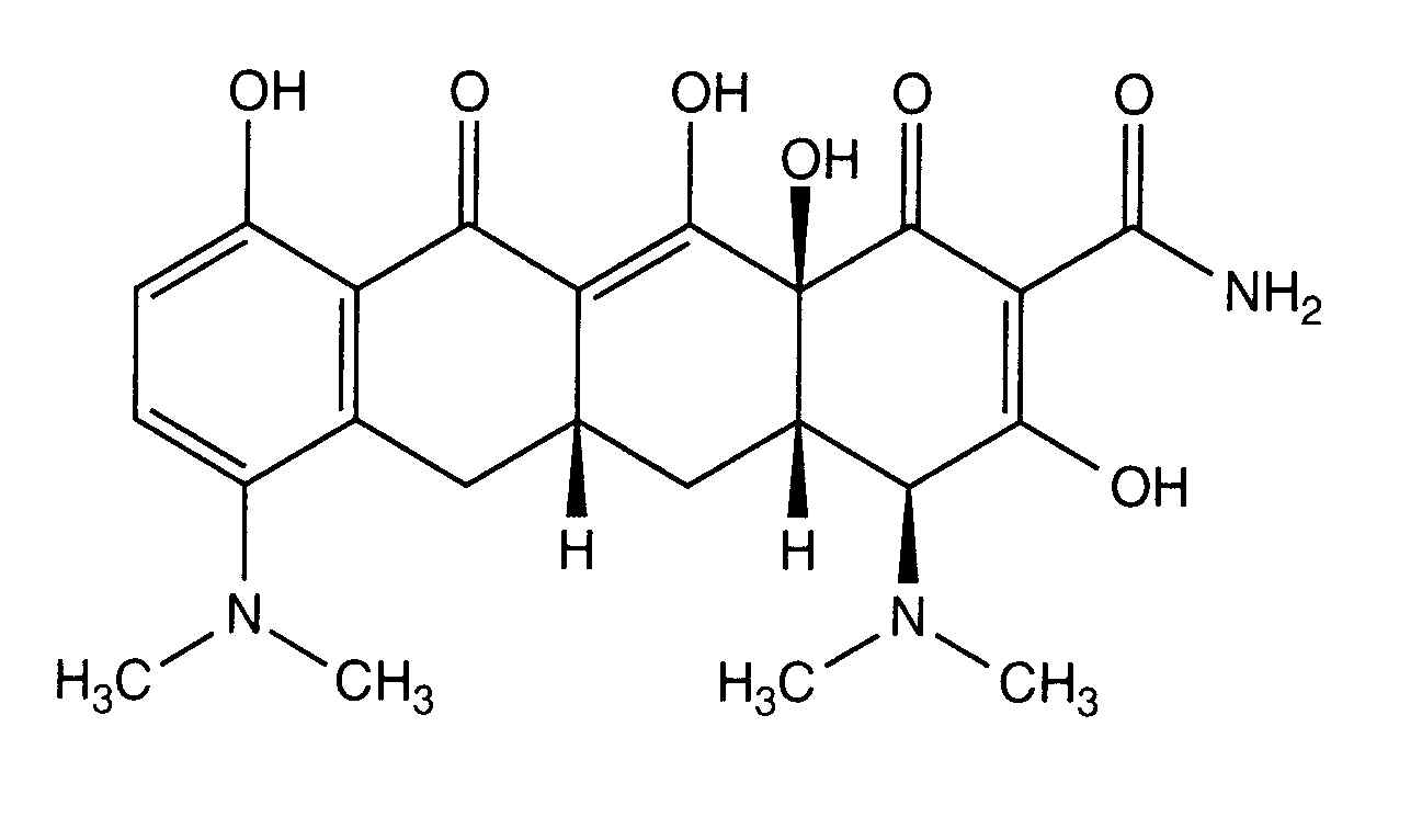
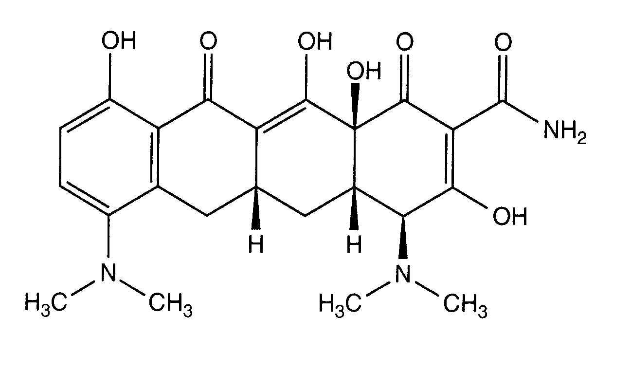
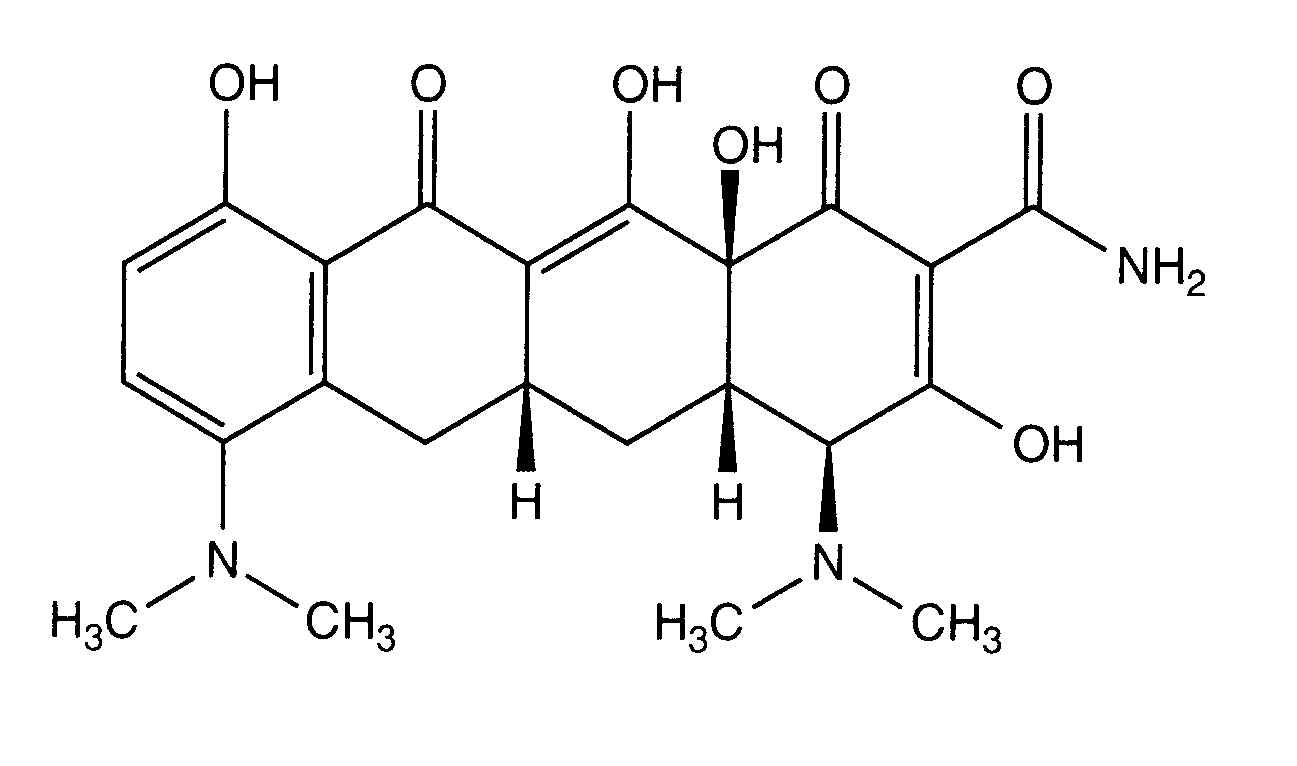
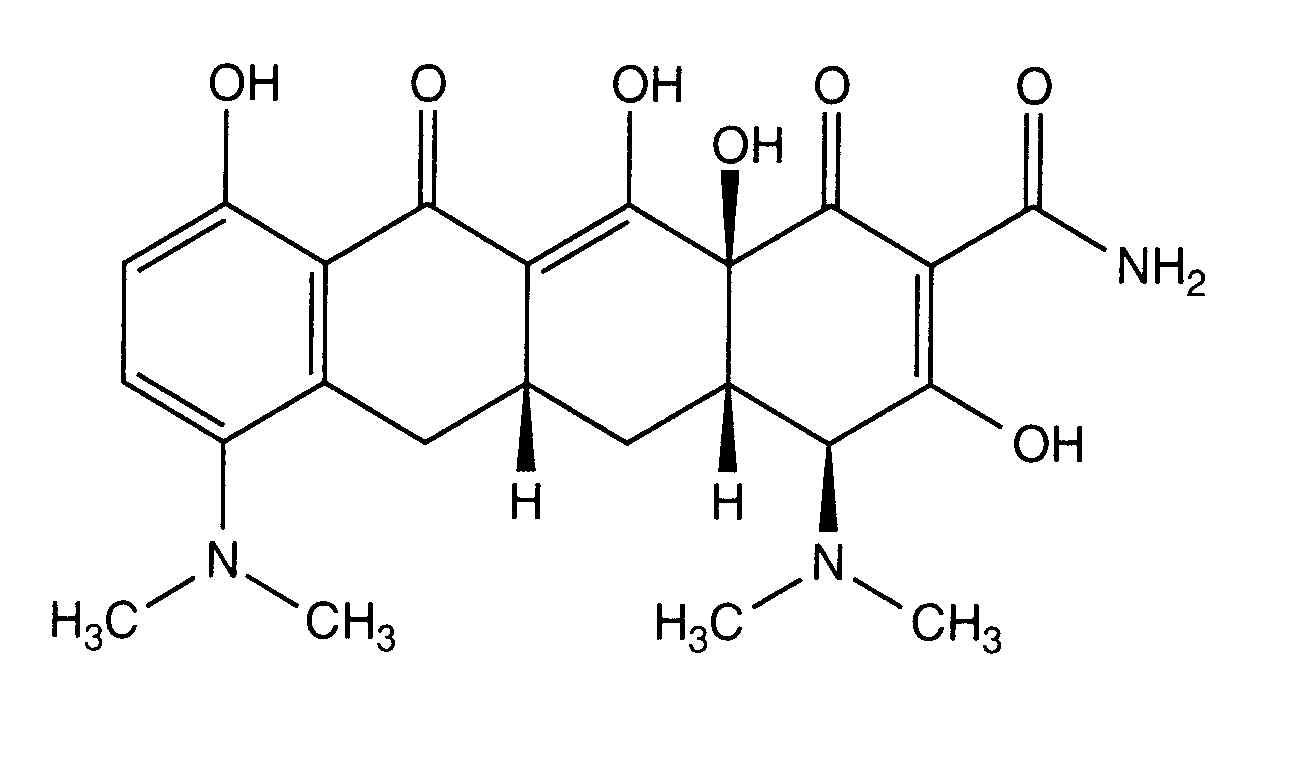
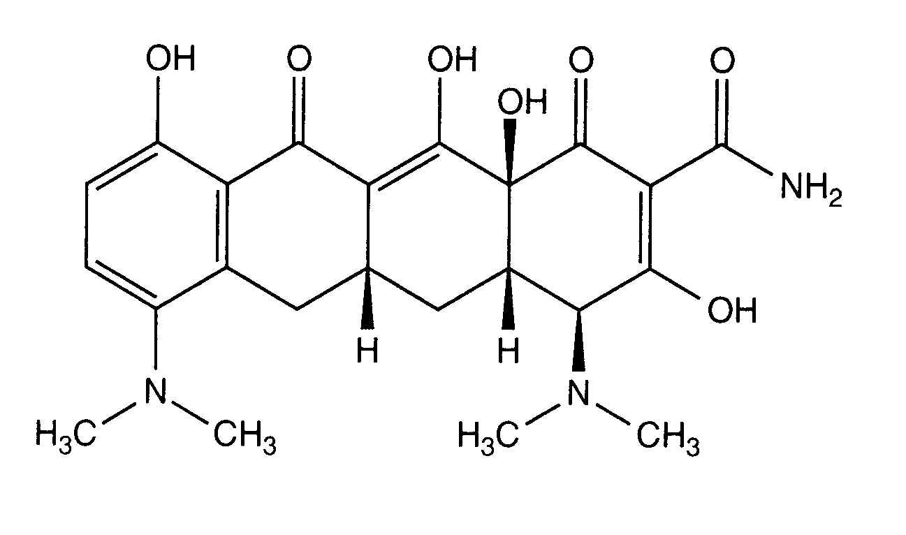
   Kemijska struktura  

Nekomercijalni   Nekomercijalni     

Zaštićeni nazivi su indikativni i sastav ekscipijensa može biti različit ovisno o državi i laboratorijima

Minocin S A D
način davanja lijeka   način davanja lijeka :Minocycline hydrochloride     
Voie
intravenozna infuzija
intramuskularni

  Mentions Légales