Cập nhật lần cuối :
17/12/2025
Thuốc lợi tiểu   Spironolactone  
Dạng bôi da
Dung dịch uống
Tính ổn định của các chế phẩm Độ ổn định khi trộn lẫn Những yếu tố ảnh hưởng đến độ ổn định Khả năng tương thích Tài liệu tham khảo Pdf
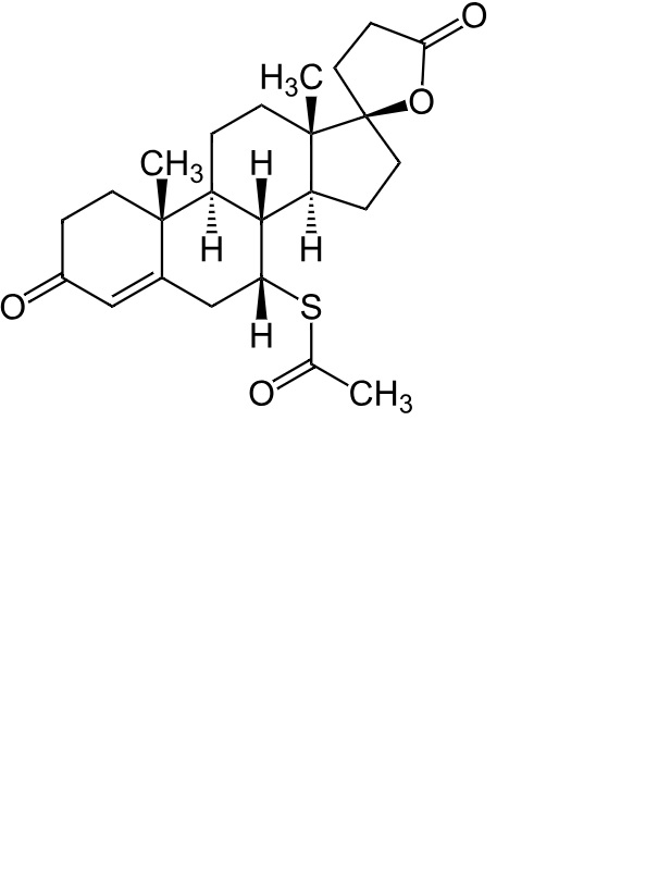
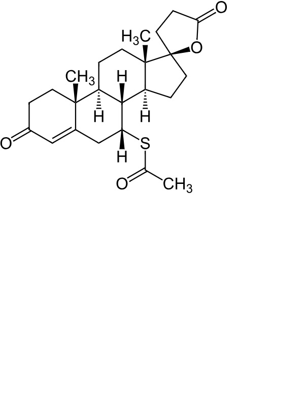
   Cấu trúc hóa học  

Dạng bôi da
Tính ổn định của các chế phẩm   Dạng bôi da   Tính ổn định của các chế phẩm : Spironolactone     
Bao bì Nguyên bản Tá dược Nhiệt độ Bảo quản Thời gian ổn định Mục lục
Thủy tinh Bột 1 g
® = ?
Cremophor RH 40 6 g
TrichoSol® >> 100 ml
25°C Tránh ánh sáng
120 Ngày
4921

  Mentions Légales