Dernière mise à jour :
27/11/2025
Diurétique   Spironolactone  
Forme dermique
Solution buvable
Stabilité des préparations Stabilité en mélange Facteur influençant la stabilité Compatibilités Bibliographie pdf
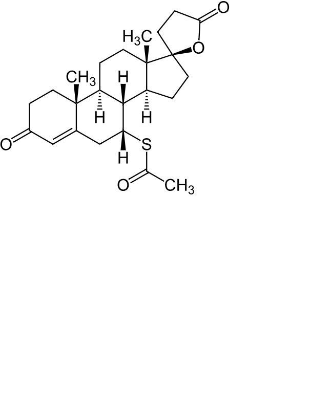
   Structure chimique  

Forme dermique
Stabilité des préparations   Forme dermique   Stabilité des préparations : Spironolactone     
Contenant Origine Excipient Température Conservation Durée de stabilité Bibliographie
Verre Poudre 1 g
® = ?
Cremophor RH 40 6 g
TrichoSol® >> 100 ml
25°C A l’abri de la lumière
120 Jour
4921

  Mentions Légales