Posledná aktualizácia :
18/03/2026
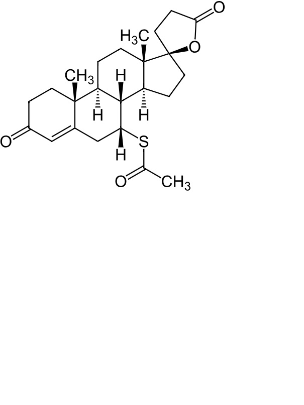
diuretikum   Spironolactone  
Dermálny prípravok
Perorálny roztok
Stabilita farmaceutických prípravkov Stabilita v zmesiach Faktory ovplyvňujúce stabilitu Kompatibility Odkazy na literatúru PDF
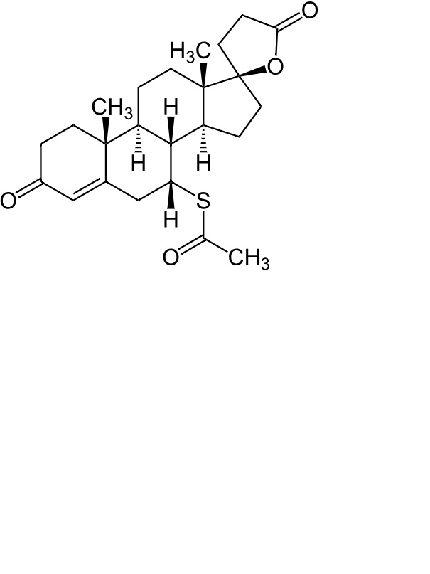
   Chemický vzorec  

Dermálny prípravok
Stabilita farmaceutických prípravkov   Dermálny prípravok   Stabilita farmaceutických prípravkov : Spironolactone     
obal Pôvod Pomocná látka teplota uchovávanie Trvanie stability odkazy na lieteratúru
Sklo Prášok 1 g
® = ?
Cremophor RH 40 6 g
TrichoSol® >> 100 ml
25°C Chránené pred svetlom
120 dní
4921

  Mentions Légales