Seneste opdatering :
17/12/2025
Diuretisk   Spironolactone  
Salver
Oral opløsning
Stabilitet af farmaceutiske tilberedninger Stabilitet i blandinger Faktorer der påvirker stabiliteten Kompatibilitet Bibliografi pdf
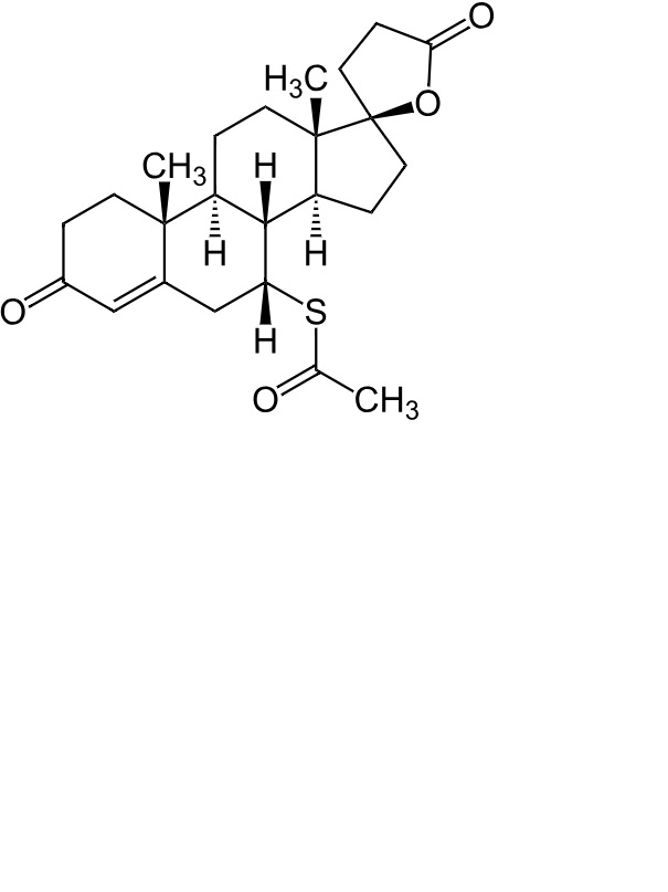
   Kemisk struktur  

Salver
Stabilitet af farmaceutiske tilberedninger   Salver   Stabilitet af farmaceutiske tilberedninger : Spironolactone     
Beholder Origine Hjælpestof Temperatur Konservering Varighed af stabilitet Bibliografi
Glas Pulver 1 g
® = ?
Cremophor RH 40 6 g
TrichoSol® >> 100 ml
25°C Beskyt mod lys
120 Dag
4921

  Mentions Légales