Останнє оновлення :
18/03/2026
сечогінний   Spironolactone  
Мазі
Розчин для перорального застосування
Стабільність фармацевтичних препаратів Стійкість сумішей Фактори, що впливають на стабільність Сумісність Список літератури pdf
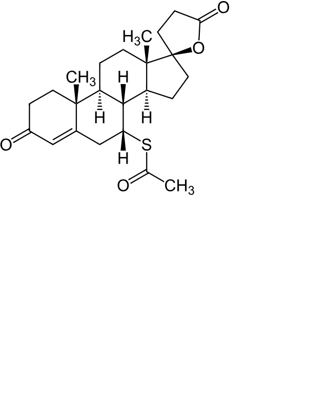
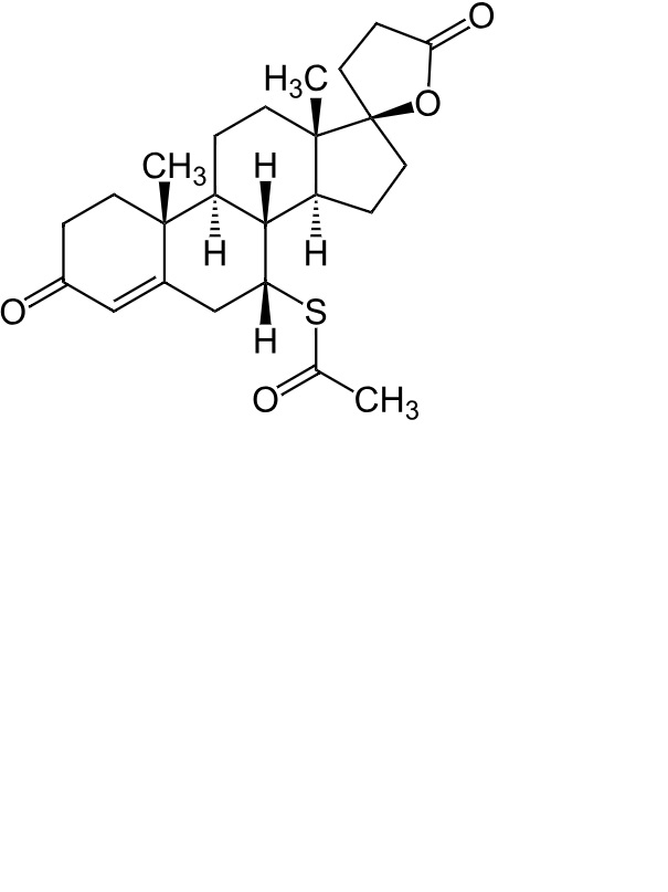
   Хімічна структура  

Мазі
Стабільність фармацевтичних препаратів   Мазі   Стабільність фармацевтичних препаратів : Spironolactone     
Контейнер Origine допоміжна речовина температура Зберігання Тривалість стабільності Список літератури
скло powder 1 g
® = ?
Cremophor RH 40 6 g
TrichoSol® >> 100 ml
25°C Берегти від світла
120 День
4921

  Mentions Légales