Última actualización :
27/11/2025
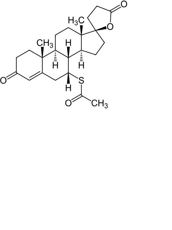
Diurético   Spironolactone  
Preparaciones tópicas
Solución Oral
La estabilidad de las preparaciones farmacéuticas Estabilidad en mezcla Factores que influyen sobre la estabilidad Compatibilidades Bibliografía pdf
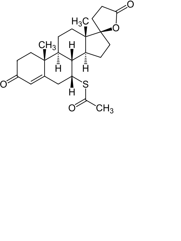
   Estructura química  

Preparaciones tópicas
La estabilidad de las preparaciones farmacéuticas   Preparaciones tópicas   La estabilidad de las preparaciones farmacéuticas : Spironolactone     
Envase Origine Excipiente Temperatura Conservación Duración de la estabilidad Bibliografía
Vidrio Polvo 1 g
® = ?
Cremophor RH 40 6 g
TrichoSol® >> 100 ml
25°C A cubierto de la luz
120 Día
4921

  Mentions Légales