Τελευταία ενημέρωση :
18/03/2026
Διουρητικό   Spironolactone  
Αλοιφές
Πόσιμο διάλυμα
Σταθερότητα και συμβατότητα των φαρμάκων Σταθερότητα σε μίγματα Παράγοντας που επηρεάζει τη σταθερότητα Συμβατότητες Βιβλιογραφία pdf
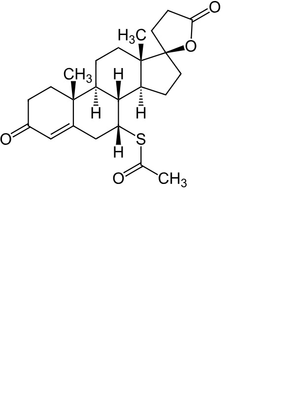
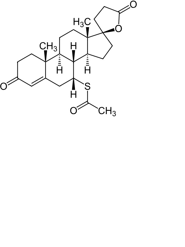
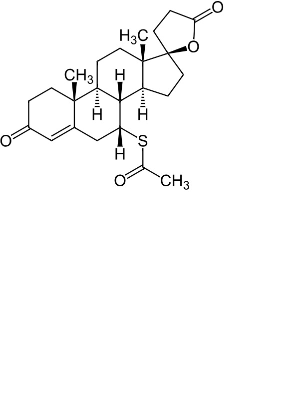
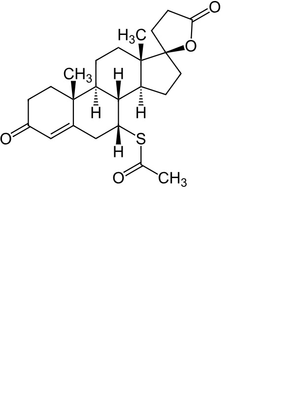
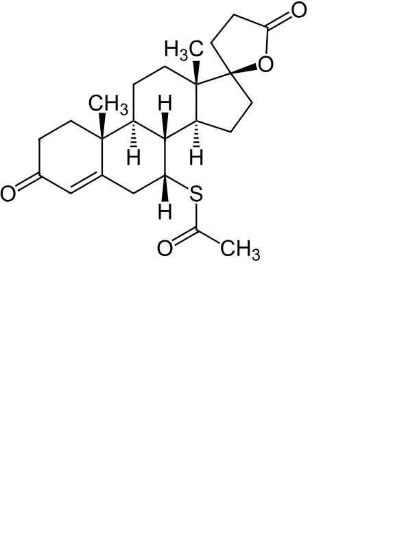
   χημική δομή  

Αλοιφές
Σταθερότητα και συμβατότητα των φαρμάκων   Αλοιφές   Σταθερότητα και συμβατότητα των φαρμάκων : Spironolactone     
Υποδοχέας Origine Έκδοχο Θερμοκρασία Αποθήκευση Διάρκεια σταθερότητας Βιβλιογραφία
Ύαλος Σκόνη 1 g
® = ?
Cremophor RH 40 6 g
TrichoSol® >> 100 ml
25°C Προστατεύετε από το φως
120 Ημέρα
4921

  Mentions Légales