Poslední aktualizace :
18/03/2026
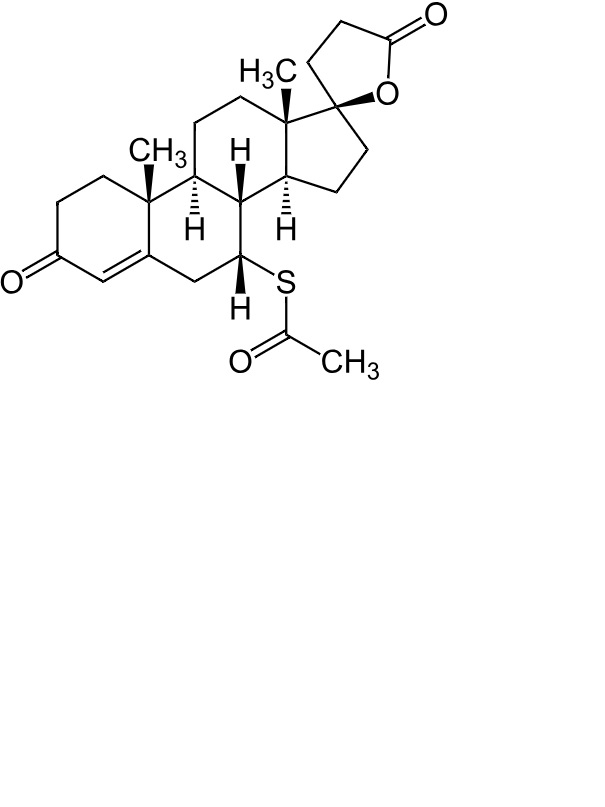
Diuretikas   Spironolactone  
Tepalai
Geriamas tirpalas
Stabilumas farmacinių preparatų Mišinių stabilumas Stabilumą lemiantys veiksniai Suderinamumas Bibliografija pdf
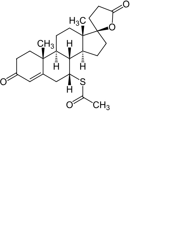
   Cheminė sandara  

Tepalai
Stabilumas farmacinių preparatų   Tepalai   Stabilumas farmacinių preparatų : Spironolactone     
Pakuotė Origine Ekscipientas Temperatūra Laikymas Stabilumo trukmė Nuorodos
Stiklas Milteliai 1 g
® = ?
Cremophor RH 40 6 g
TrichoSol® >> 100 ml
25°C Apsaugotas nuo šviesos
120 Diena
4921

  Mentions Légales