Last update :
18/03/2026
Diuretic   Spironolactone  
Ointments
Oral solution
Stability of pharmaceutical preparations Stability of mixtures Factors which affect stability Compatibility References pdf
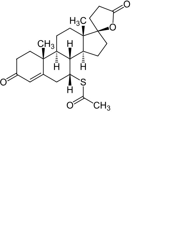
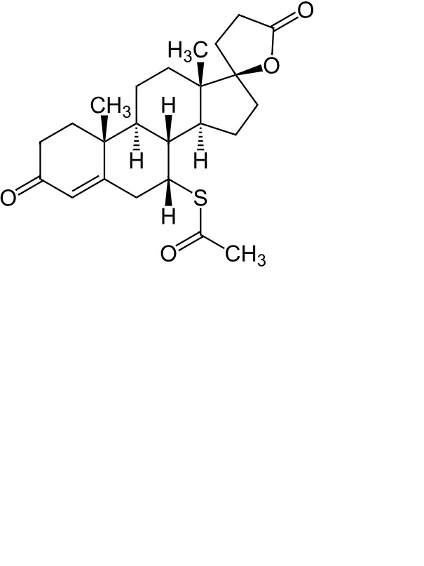
   Chemical structure  

Ointments
Stability of pharmaceutical preparations   Ointments   Stability of pharmaceutical preparations : Spironolactone     
Container Origine excipient Temperature Storage Duration of stability References
Glass powder 1 g
® = ?
Cremophor RH 40 6 g
TrichoSol® >> 100 ml
25°C Protect from light
120 Day
4921

  Mentions Légales