Останнє оновлення :
27/11/2025
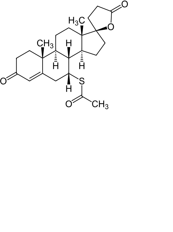
сечогінний   Spironolactone  
Мазі
Розчин для перорального застосування
Стабільність фармацевтичних препаратів Стійкість сумішей Фактори, що впливають на стабільність Сумісність Список літератури pdf
   Хімічна структура  

Мазі
Сумісність   Мазі   Сумісність : Spironolactone              
7 / 5 000 Résultats de traduction Немає даних

  Mentions Légales