Ultimo aggiornamento :
18/03/2026
Diuretico   Spironolactone  
Unguenti
Soluzione orale
Stabilità dei preparati farmaceutici Stabilità in miscela Fattori che influenzano la stabilità Compatibilità Bibliografia pdf
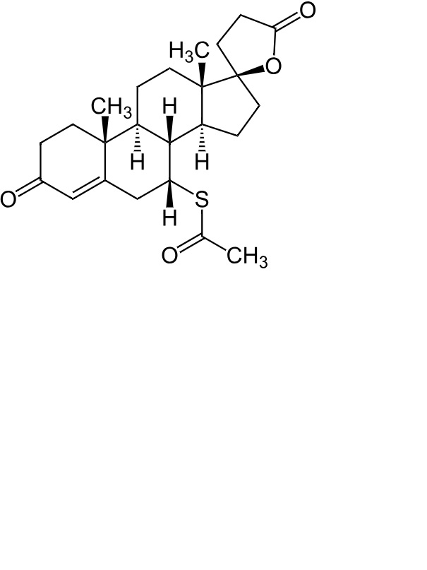
   Struttura chimica  

Unguenti
Compatibilità   Unguenti   Compatibilità : Spironolactone              
Assenza di dati

  Mentions Légales