Última actualização :
18/03/2026
diurético   Spironolactone  
Pomadas
Solução Oral
Estabilidade de preparações farmacêuticas Estabilidade em misturas Factores que afectam a sua estabilidade Compatibilidade Bibliografía pdf
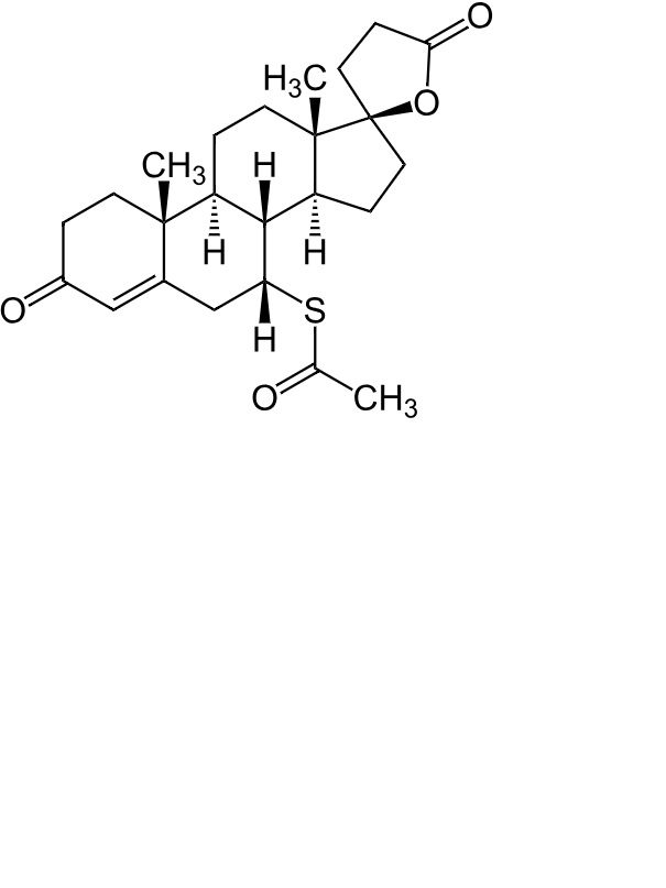
   estrutura química  

Pomadas
Compatibilidade   Pomadas   Compatibilidade : Spironolactone              
Ausência de dados

  Mentions Légales