Última actualización :
18/03/2026
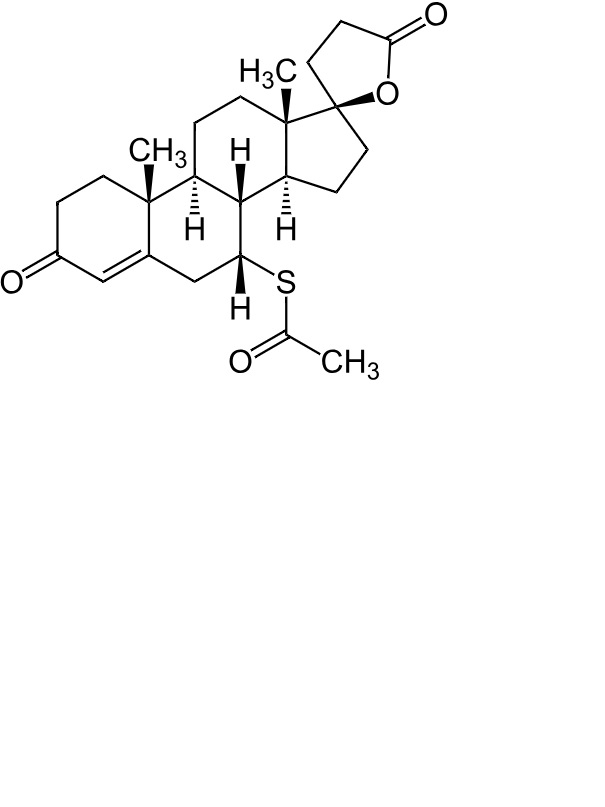
Diurético   Spironolactone  
Preparaciones tópicas
Solución Oral
La estabilidad de las preparaciones farmacéuticas Estabilidad en mezcla Factores que influyen sobre la estabilidad Compatibilidades Bibliografía pdf
   Estructura química  

Preparaciones tópicas
Compatibilidades   Preparaciones tópicas   Compatibilidades : Spironolactone              
Ausencia de datos

  Mentions Légales