Utolsó frissítés :
18/03/2026
Vizelethajtó   Spironolactone  
kenőcs
belsőleges oldat
Stabilitása gyógyszerészeti készítmények A keverékek stabilitása Stabilitást befolyásoló tényezők Kompatibilitás Irodalom pdf
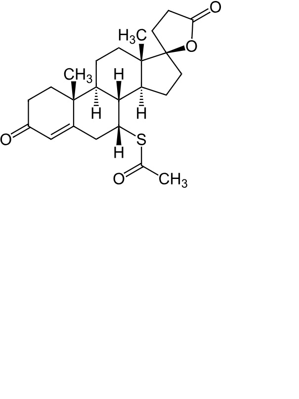
   Kémiai szerkezet   

kenőcs
Kompatibilitás   kenőcs   Kompatibilitás : Spironolactone              
Hiányzó adat

  Mentions Légales