Seneste opdatering :
18/03/2026
Diuretisk   Spironolactone  
Salver
Oral opløsning
Stabilitet af farmaceutiske tilberedninger Stabilitet i blandinger Faktorer der påvirker stabiliteten Kompatibilitet Bibliografi pdf
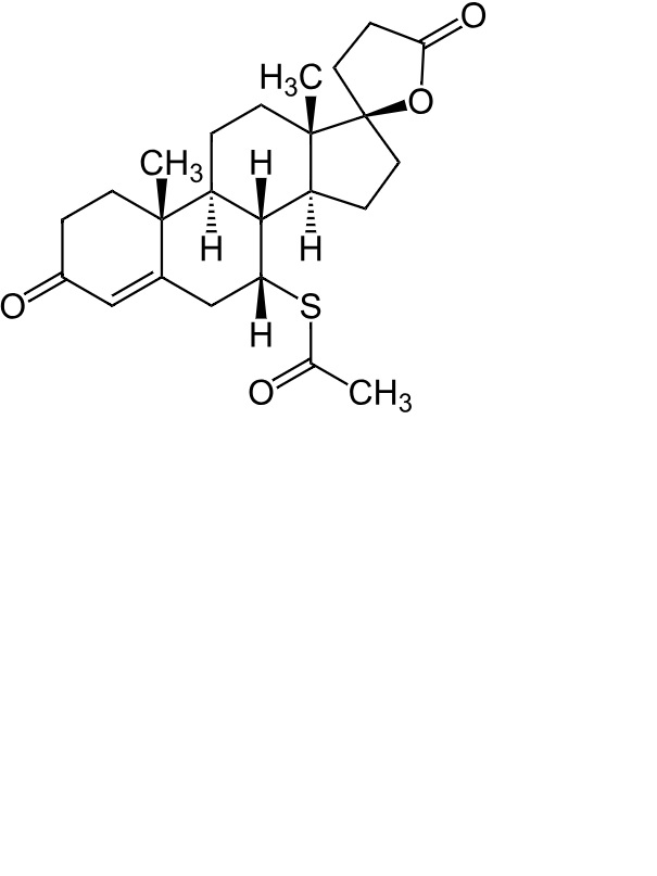
   Kemisk struktur  

Salver
Kompatibilitet   Salver   Kompatibilitet : Spironolactone              
Ingen data

  Mentions Légales