Pēdējā atjaunošana :
18/03/2026
Diurētiķis   Spironolactone  
Ziedes
Orāls šķīdums
Stabilitāte farmaceitisko preparātu Maisījuma stabilitāte Stabilitāti ietekmējoši faktori Saderība Literatūras saraksts pdf
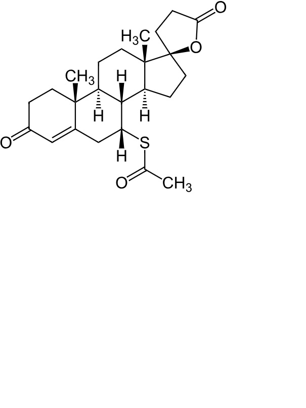
   Ķīmiskā uzbūve   

Ziedes
Saderība   Ziedes   Saderība : Spironolactone              
Nav datu

  Mentions Légales