Последнее обновление :
18/03/2026
Диуретик   Spironolactone  
Мази
Раствор для перорального приёма
Стабильность фармацевтических препаратов Стабильность смесей Факторы, которые влияют на стабильность Совместимость Библиография pdf
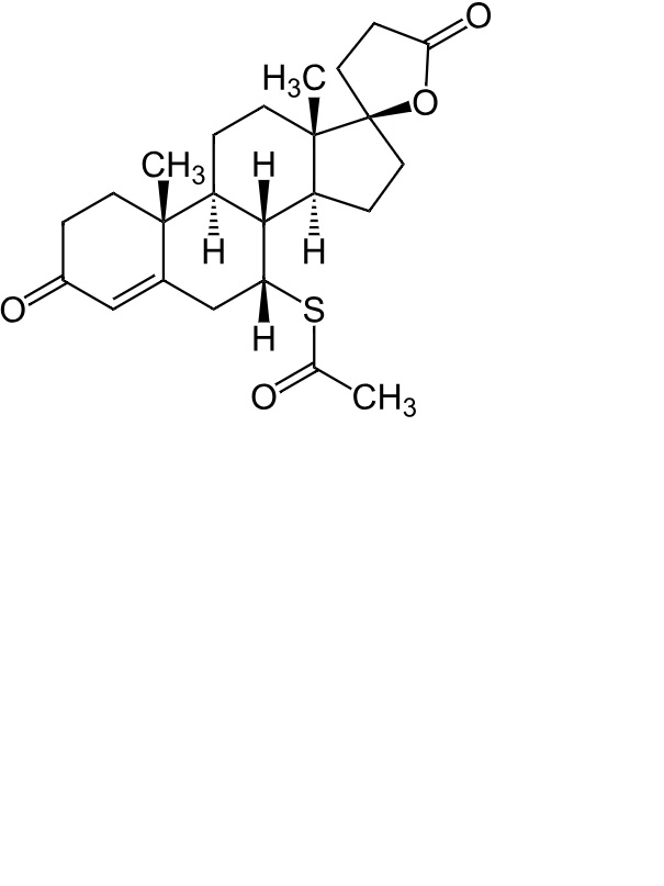
   Химическая структура  

Мази
Совместимость   Мази   Совместимость : Spironolactone              
данных нет

  Mentions Légales