最新更新 :
18/03/2026
利尿薬   Spironolactone  
軟膏薬
経口液
調剤時の安定性 混合時の安定性 安定性に影響する因子 互換性 引用文献 PDF
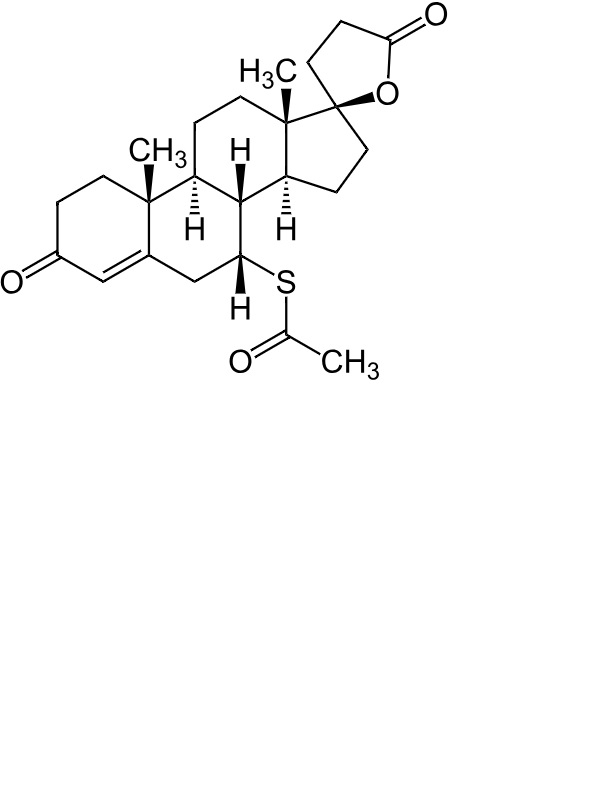
   化学構造  

軟膏薬
互換性   軟膏薬   互換性 : Spironolactone              
データなし

  Mentions Légales