Останнє оновлення :
17/12/2025
Антибіотик   Dapsone  
Мазі
Розчин для перорального застосування
Стабільність фармацевтичних препаратів Стійкість сумішей Фактори, що впливають на стабільність Сумісність Список літератури pdf
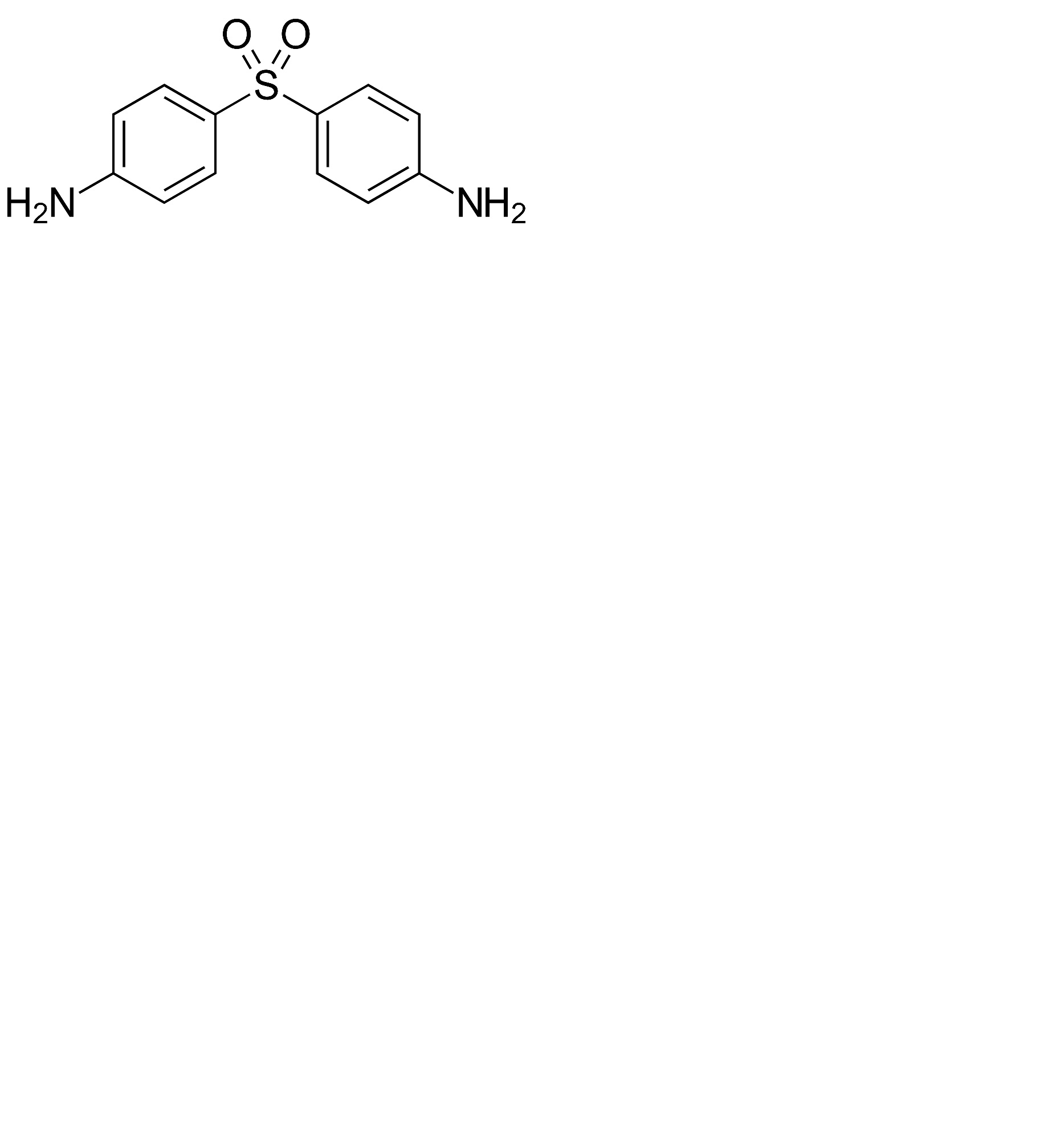
   Хімічна структура  

Мазі
Стабільність фармацевтичних препаратів   Мазі   Стабільність фармацевтичних препаратів : Dapsone     
Контейнер Origine допоміжна речовина температура Зберігання Тривалість стабільності Список літератури
пластикова пляшка powder 2000 mg
® = ?
Cleoderm® >> 40 g
15-30°C Берегти від світла
180 День
4879
пластикова пляшка powder 4000 mg
® = ?
Cleoderm® >> 40 g
15-30°C Берегти від світла
180 День
4879

  Mentions Légales