Last update :
27/11/2025
Antibiotic   Dapsone  
Ointments
Oral solution
Stability of pharmaceutical preparations Stability of mixtures Factors which affect stability Compatibility References pdf
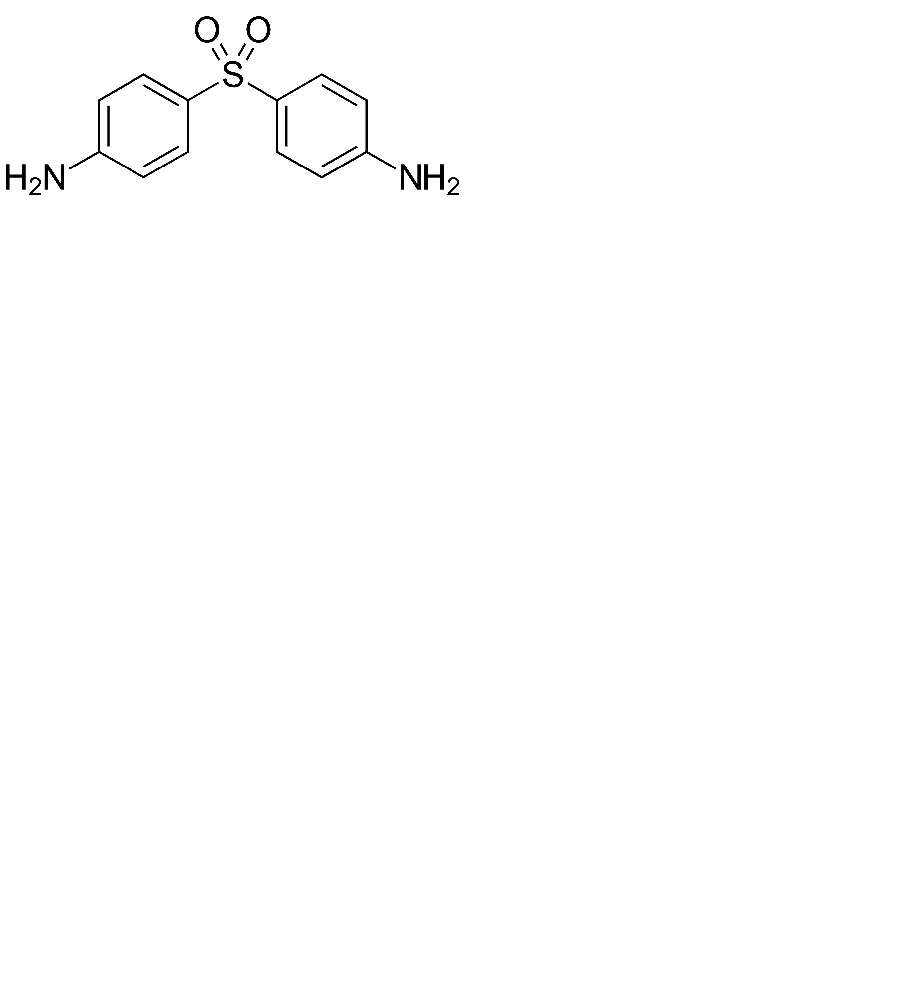
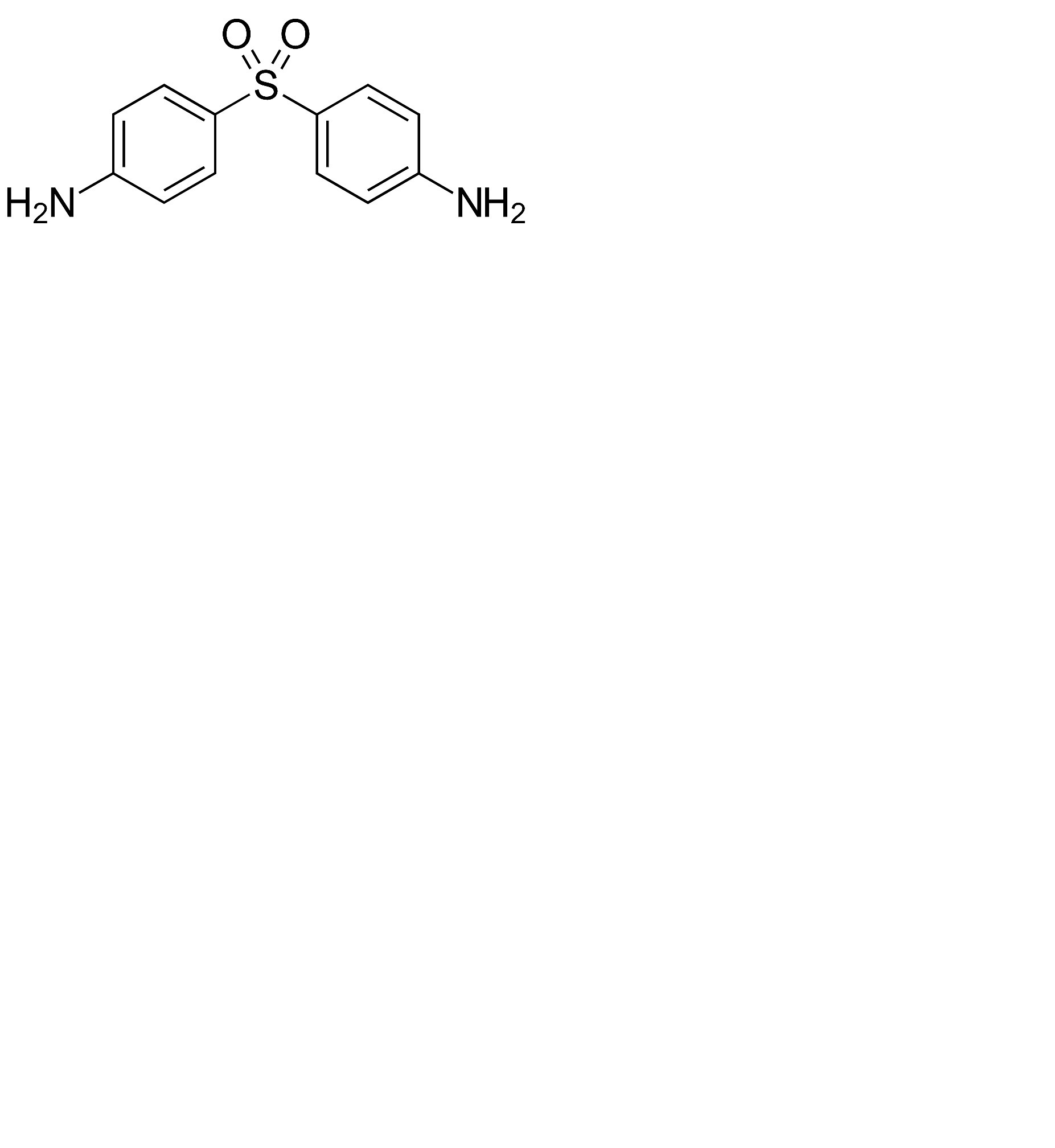
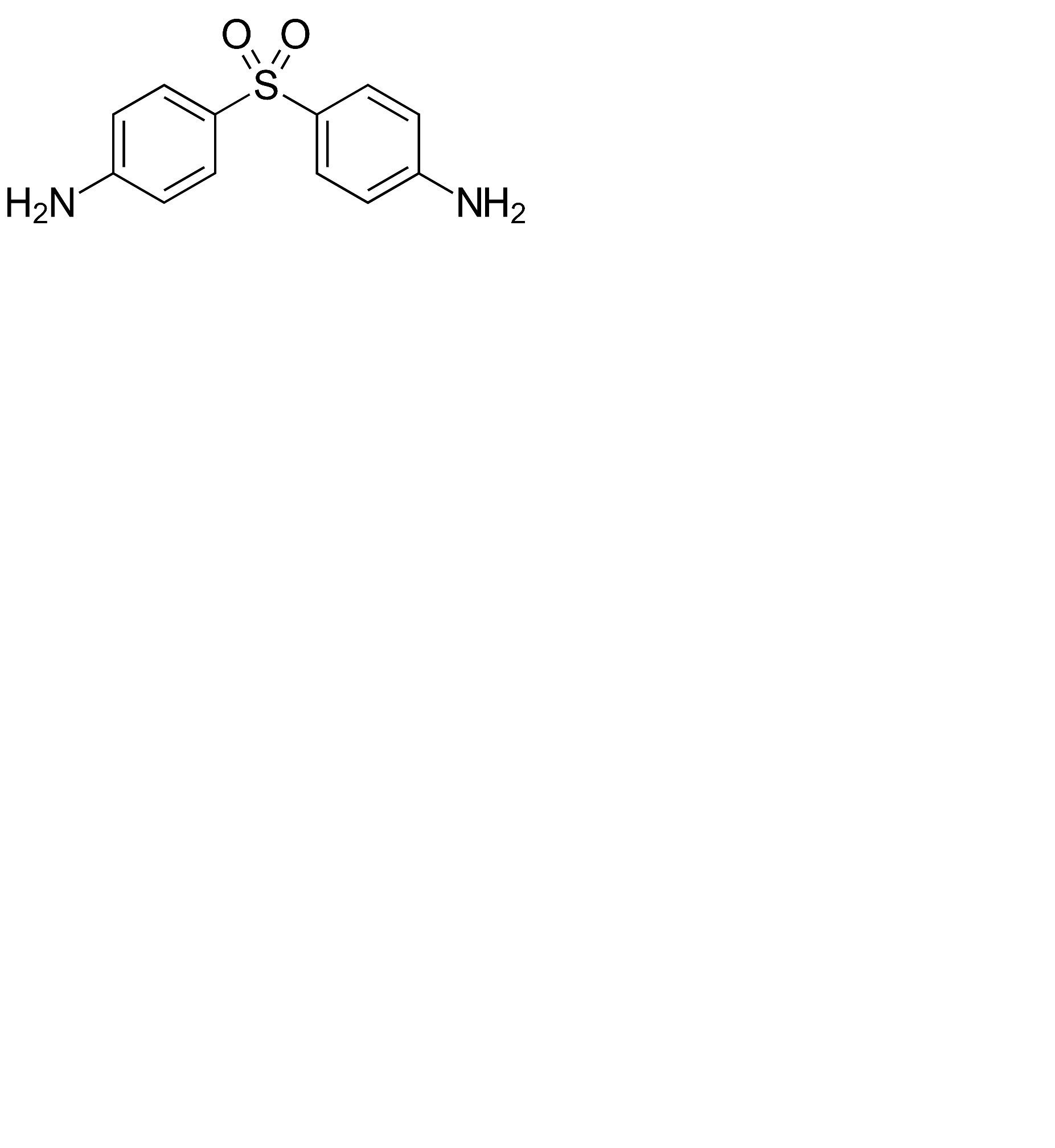
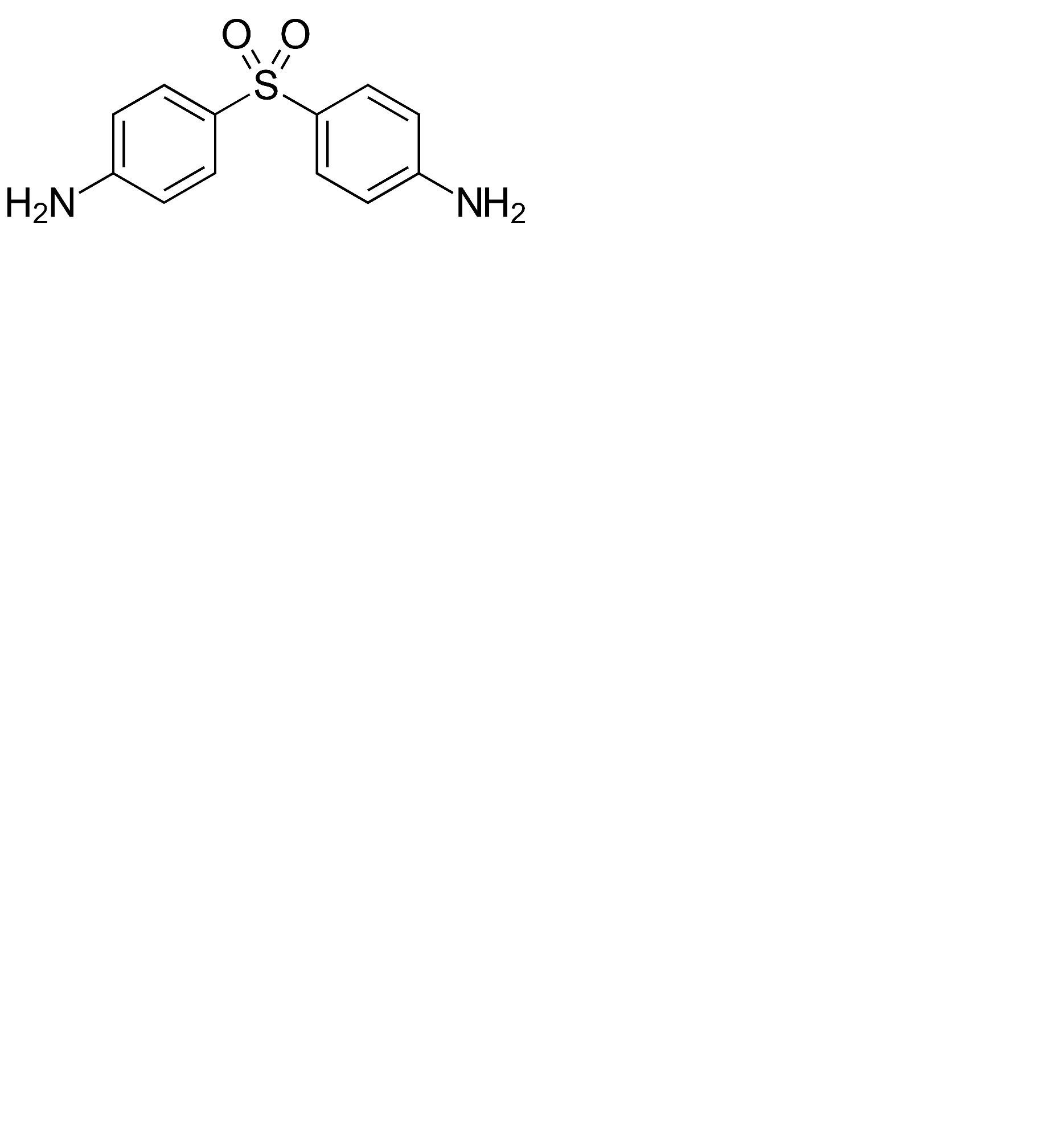
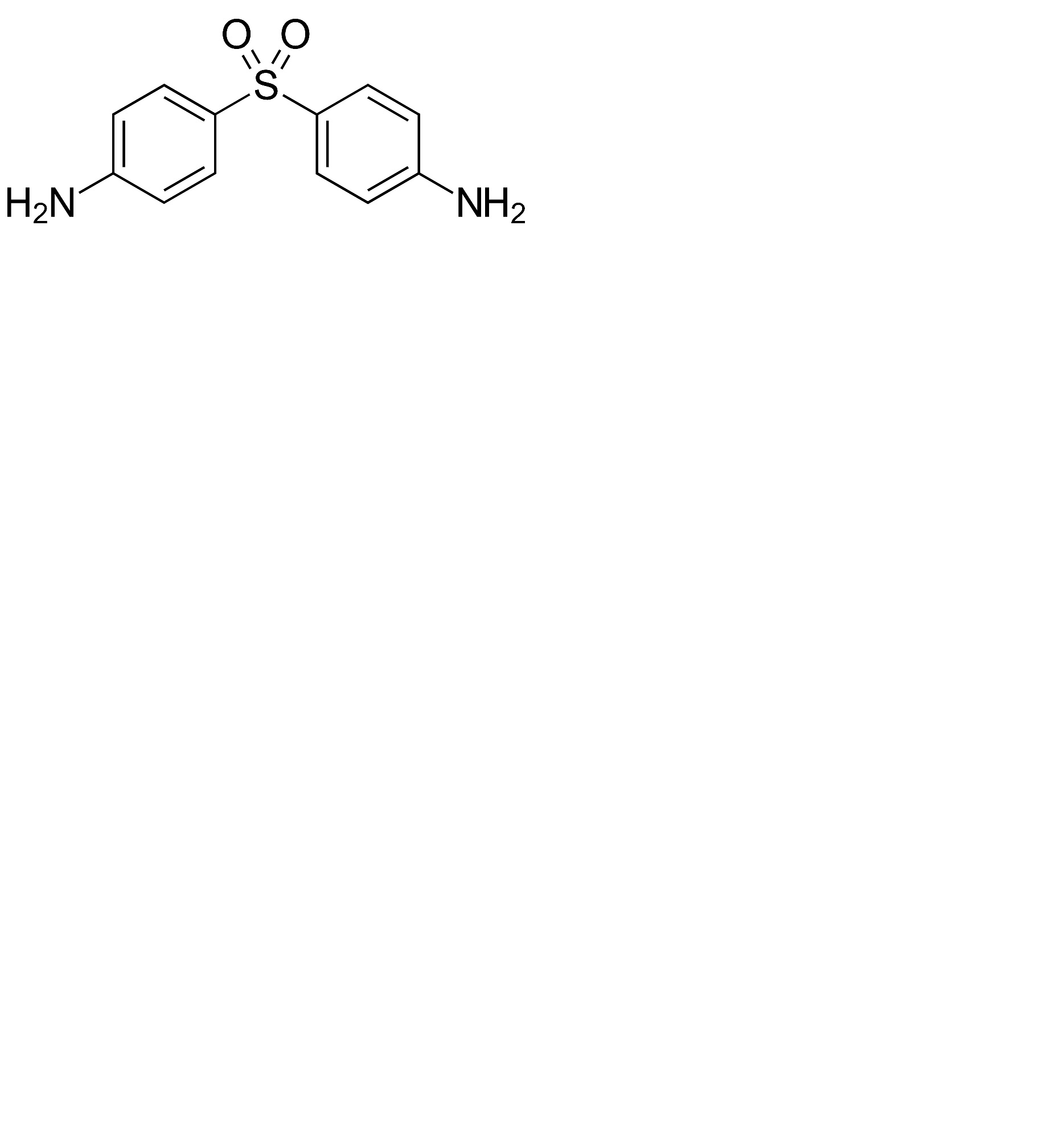
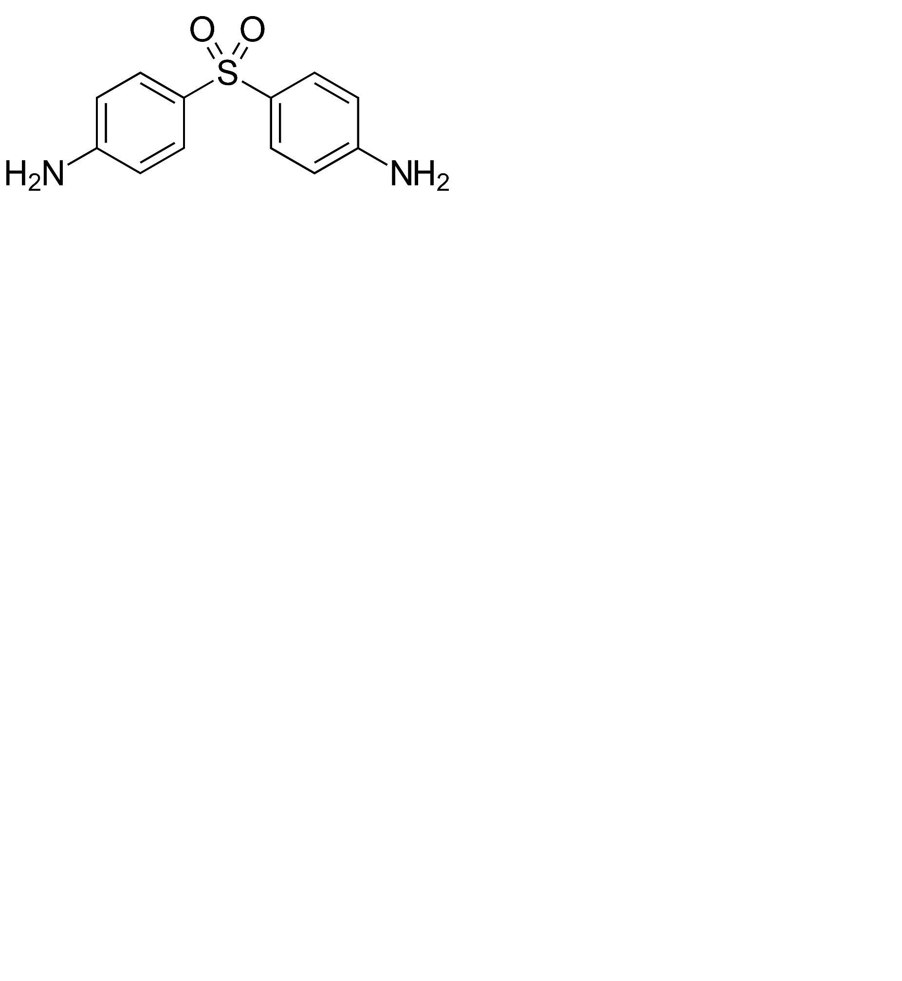
   Chemical structure  

Ointments
Stability of pharmaceutical preparations   Ointments   Stability of pharmaceutical preparations : Dapsone     
Container Origine excipient Temperature Storage Duration of stability References
plastic bottle powder 2000 mg
® = ?
Cleoderm® >> 40 g
15-30°C Protect from light
180 Day
4879
plastic bottle powder 4000 mg
® = ?
Cleoderm® >> 40 g
15-30°C Protect from light
180 Day
4879

  Mentions Légales