Ostatnia aktualizacja :
18/03/2026
Antybiotyk   Dapsone  
Maści
Roztwór doustny
Stabilność preparatów farmaceutycznych Trwałość w mieszaninie Czynnik wpływający na trwałość Zgodność Bibliografia pdf
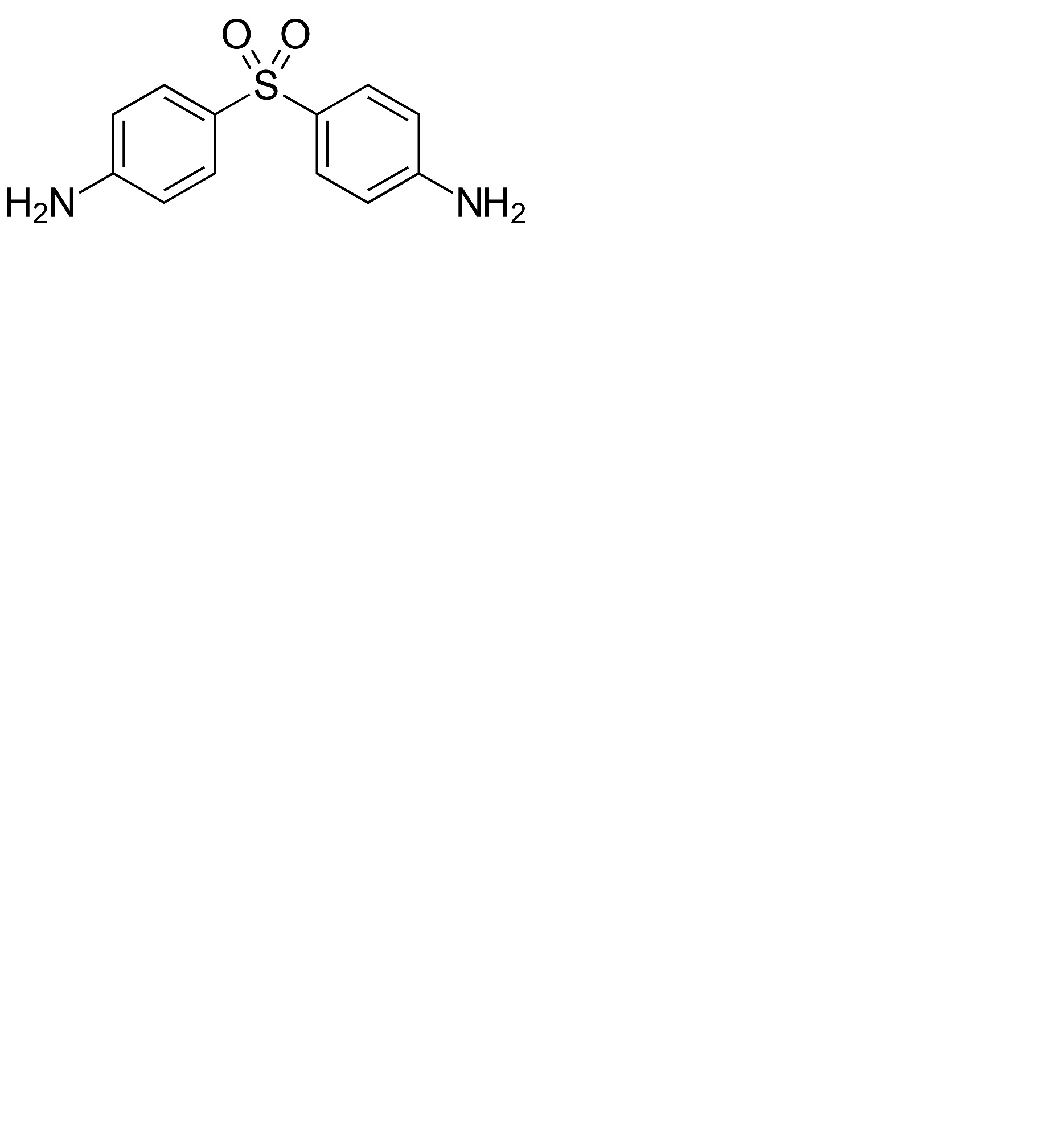
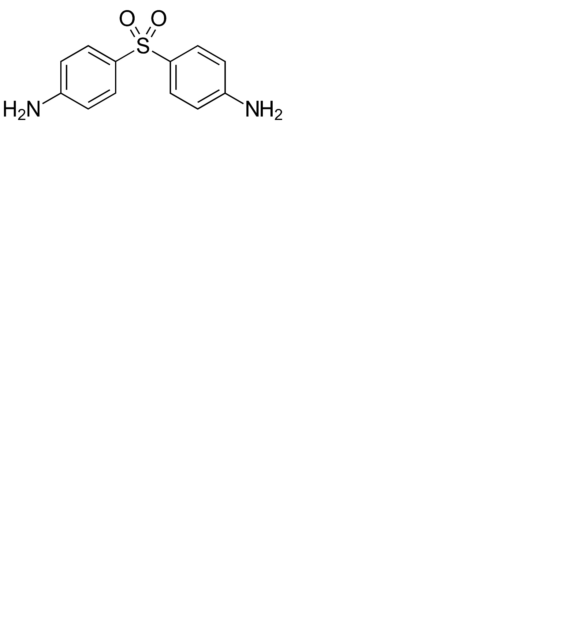
   Struktura chemiczna  

Maści
Stabilność preparatów farmaceutycznych   Maści   Stabilność preparatów farmaceutycznych : Dapsone     
Pojemnik Origine Substancja pomocniczna Temperatura Przechowywanie Czas trwania stabilności Bibliografia
Butelka plastikowa Proszek 2000 mg
® = ?
Cleoderm® >> 40 g
15-30°C Chronić od światła
180 Dzień
4879
Butelka plastikowa Proszek 4000 mg
® = ?
Cleoderm® >> 40 g
15-30°C Chronić od światła
180 Dzień
4879

  Mentions Légales