Laatste update :
27/11/2025
Antibioticum   Dapsone  
zalf
Orale Oplossing
Stabiliteit van farmaceutische preparaten Stabiliteit in mengsels Factoren die de stabiliteit beïnvloeden Verenigbaarheden Literatuur pdf
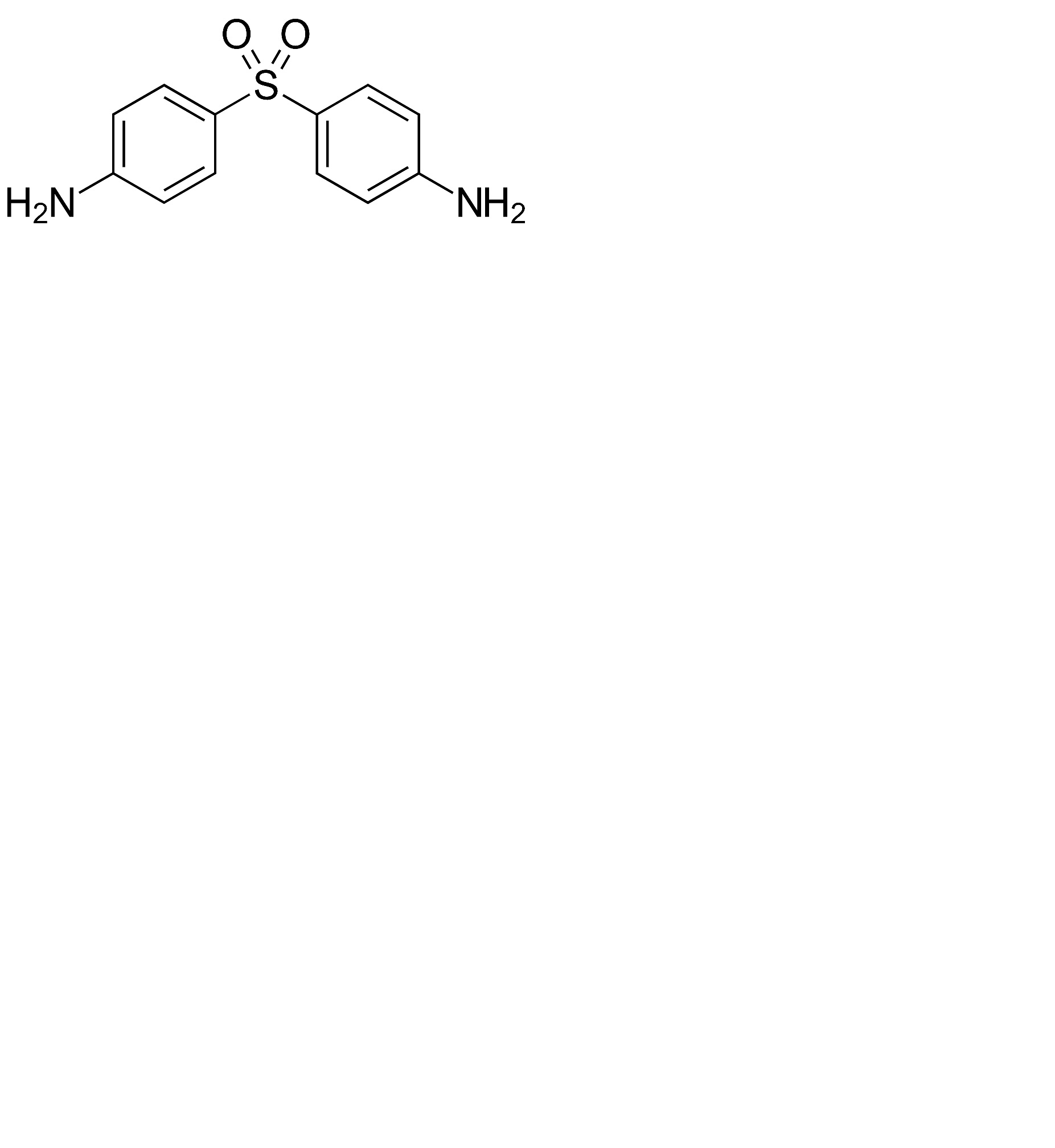
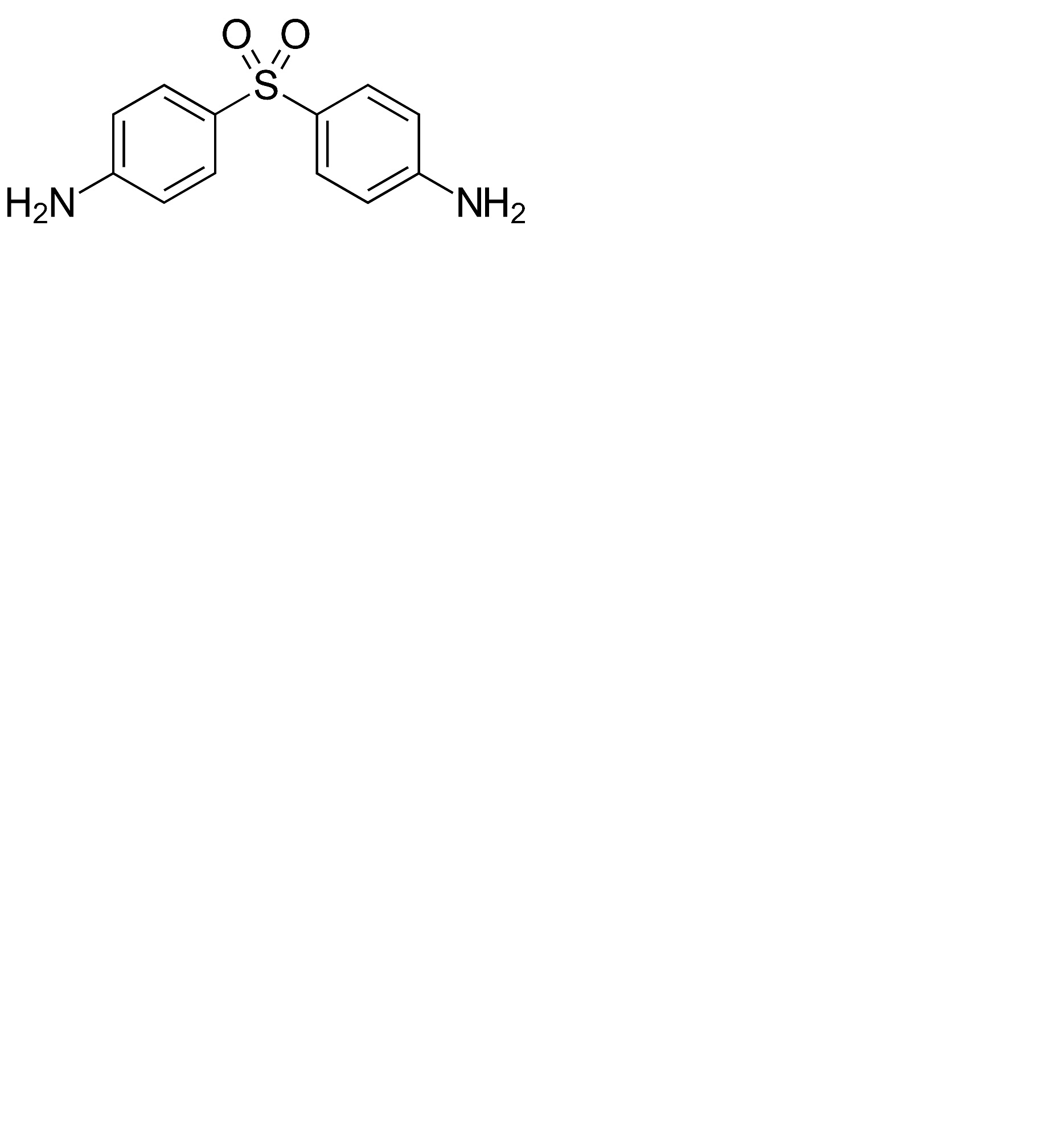
   Molecuulstructuur  

zalf
Stabiliteit van farmaceutische preparaten   zalf   Stabiliteit van farmaceutische preparaten : Dapsone     
Verpakking Origine  ikˈsipēənt hulpstof Temperatuur Bewaring Duur van de stabiliteit Literatuur
plastic fles poeder 2000 mg
® = ?
Cleoderm® >> 40 g
15-30°C Buiten invloed van licht
180 Dag
4879
plastic fles poeder 4000 mg
® = ?
Cleoderm® >> 40 g
15-30°C Buiten invloed van licht
180 Dag
4879

  Mentions Légales